Capacitance Flashcards

(17 cards)

1
Q

Describe a basic capacitor

A

Two conducting elements separated by an insulating material (dielectric)

How well did you know this?
1
Not at all
2
3
4
5
Perfectly
2
Q

How does a capacitor Charge up? (6)

A

Electrons flow from negative plate in the battery to the positive plate (opposite to current)

Electrons accumulate on one of the sides of the capacitor, this causes negative charge to build on that plate

The negatively charged plate repels electrons original present in the metal of the adjacent plate around the circuit

This creates a flow of charge

Meaning the adjacent plate becomes positively charged

The oppositely charged plates store electric potential energy which increases over time as the potential difference between the plates increase until a certain point

How well did you know this?
1
Not at all
2
3
4
5
Perfectly
3
Q

What is Capacitance?

A

Amount of charge that can be stored by a capacitor per unit voltage across its plates

Q=CV
Q in coulombs V in volts and C in Farads

How well did you know this?
1
Not at all
2
3
4
5
Perfectly
4
Q

Why is the formula Q =CV not a good representation and suggest a better formula.

A
How well did you know this?
1
Not at all
2
3
4
5
Perfectly
5
Q

How do you calculate the Capactiance of a Capactior?

A
How well did you know this?
1
Not at all
2
3
4
5
Perfectly
6
Q

What is Dielectric Permitivity?

A

Measure of the ability of a material to establish an electric field

How well did you know this?
1
Not at all
2
3
4
5
Perfectly
7
Q

What is a Dielectric Constant? (relative permittivity)

Whats the formula?

A

Ratio of the absolute permittivity of a material to that of a vacuum

How well did you know this?
1
Not at all
2
3
4
5
Perfectly
8
Q

What is Magnetic Permeability?

A

Measure of the ability of a material to conduct magnetic flux

measure the degree to which a magnetic field can penetrate through a material.

How well did you know this?
1
Not at all
2
3
4
5
Perfectly
9
Q

How do you calculate the speed of light with absolute permittivity and magnetic permeability

A
How well did you know this?
1
Not at all
2
3
4
5
Perfectly
10
Q

Explain how to capacitors store energy?

A

By establishing an electric field across the dielectric

How well did you know this?
1
Not at all
2
3
4
5
Perfectly
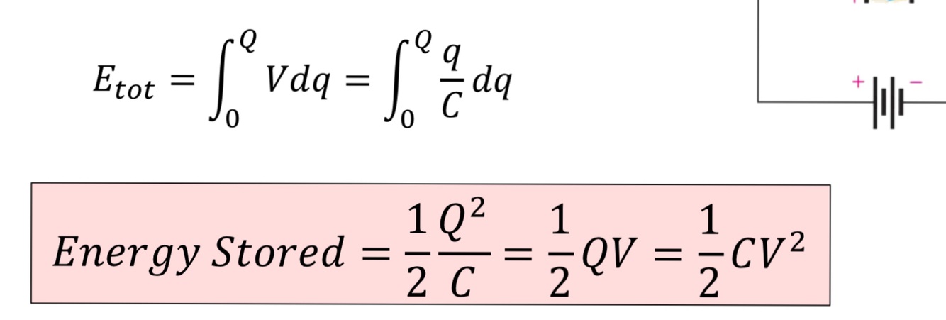
11
Q

How do you derive and what are the 3 equations that describe the Energy stored across a capacitor

A
How well did you know this?
1
Not at all
2
3
4
5
Perfectly
12
Q

What is a Step Response?

A

Change from one DC voltage to another

How well did you know this?
1
Not at all
2
3
4
5
Perfectly
13
Q

Derive the Non-Homogenous ordinary differential equation that once solved is the equation that describes the voltage across a capacitor while charging

A
How well did you know this?
1
Not at all
2
3
4
5
Perfectly
14
Q

Whats the Equation that describes the voltage across a capacitor while charging

A
How well did you know this?
1
Not at all
2
3
4
5
Perfectly
15
Q

Whats the Equation that describes the voltage across a capacitor while discharging

A
How well did you know this?
1
Not at all
2
3
4
5
Perfectly
16
Q

Derive the First order homogenous ordinary differential equation that once solved is the equation that describes the voltage across a capacitor while discharging

17
Q

Work out Vc(t) in terms of Vs for a capacitor charging and discharging