Basics Flashcards

(19 cards)

1
Q

What is the material derivative, in both vector & index notation?

A
How well did you know this?
1
Not at all
2
3
4
5
Perfectly
2
Q

What is the velocity gradient tensor?

A
How well did you know this?
1
Not at all
2
3
4
5
Perfectly
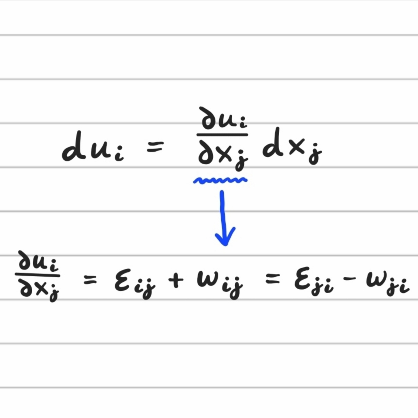
3
Q

What is the general decompostion of the motion of a fluid particle in the vicinity of a given point?

A
How well did you know this?
1
Not at all
2
3
4
5
Perfectly
4
Q

What are the rate of strain & rate of rotation tensors?

A
How well did you know this?
1
Not at all
2
3
4
5
Perfectly
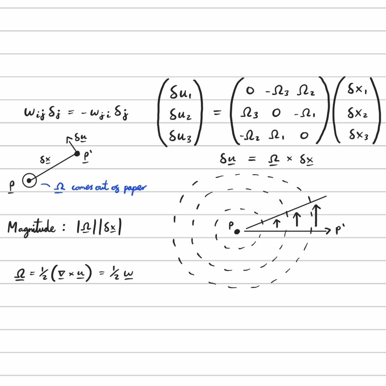
5
Q

How does the rigid body of rotation tensor act (and look like)?

A
How well did you know this?
1
Not at all
2
3
4
5
Perfectly
6
Q

How do we define strain?

A
How well did you know this?
1
Not at all
2
3
4
5
Perfectly
7
Q

What does shearing, and the shearing rate, look like?

A
How well did you know this?
1
Not at all
2
3
4
5
Perfectly
8
Q

How is mass flux defined?

A
How well did you know this?
1
Not at all
2
3
4
5
Perfectly
9
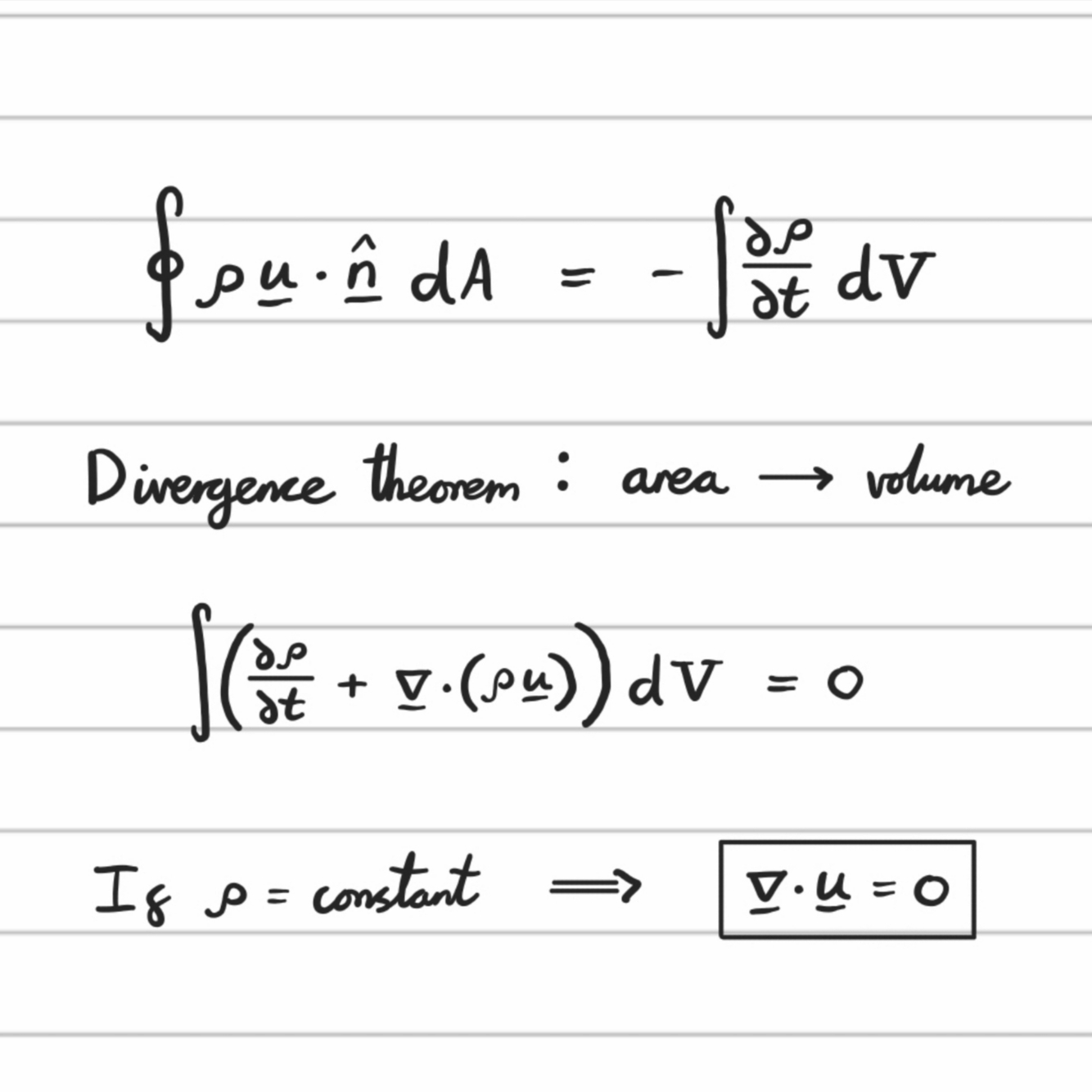
Q

What are the integral forms of the compressable & incompressable continuity equations?

A
How well did you know this?
1
Not at all
2
3
4
5
Perfectly
10
Q

How is traction on a fluid particle defined?

A
How well did you know this?
1
Not at all
2
3
4
5
Perfectly
11
Q

How is traction and stress on a fluid particle defined?

A

Traction affects the surface, stress the interior. When they meet they’re equivalent.

How well did you know this?
1
Not at all
2
3
4
5
Perfectly
12
Q

How is the Stress tensor derived?

A
How well did you know this?
1
Not at all
2
3
4
5
Perfectly
13
Q

How does the stress tensor act on a fluid particle?

A
How well did you know this?
1
Not at all
2
3
4
5
Perfectly
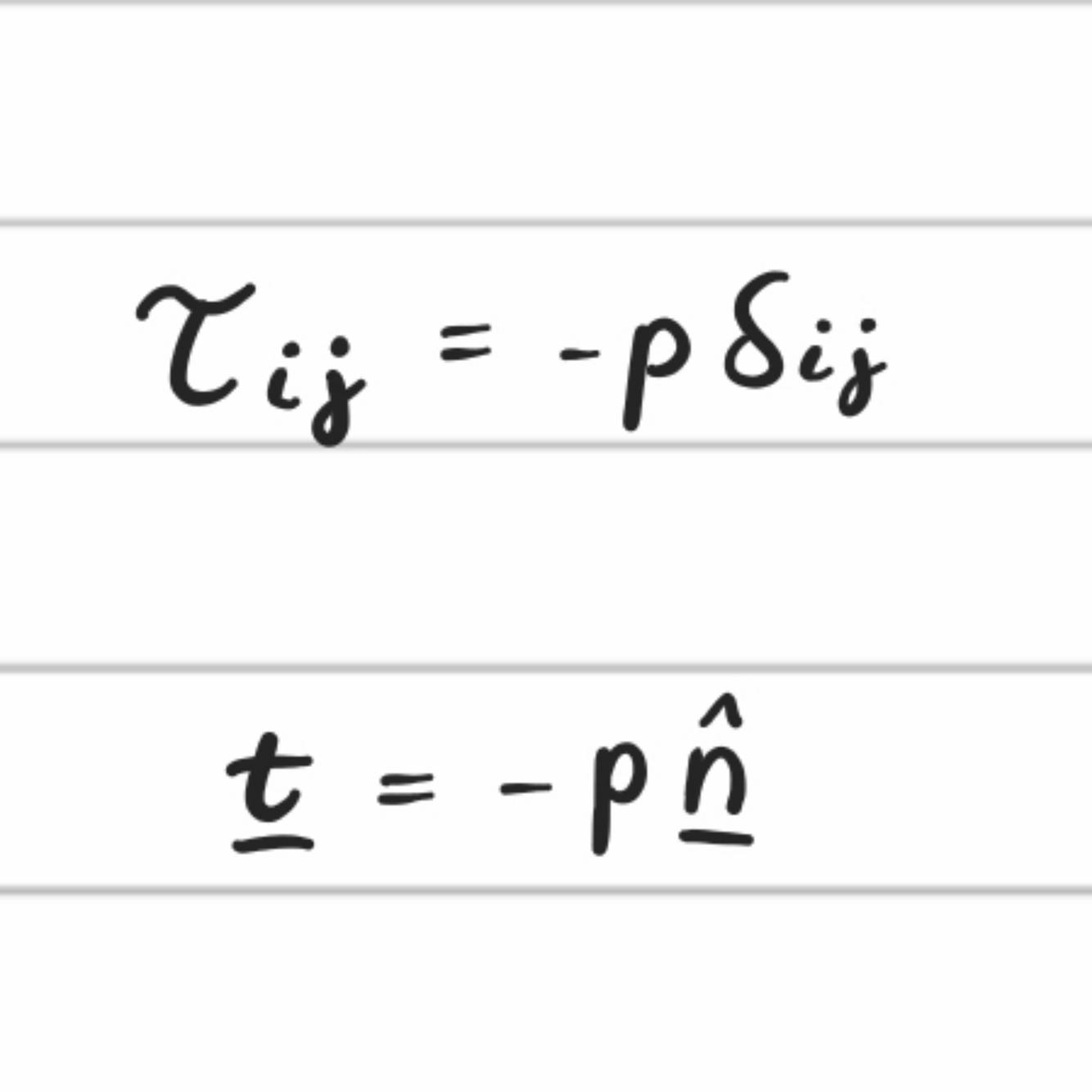
14
Q

What do the stress and stress tensors appear as for hydrostatic pressure?

A
How well did you know this?
1
Not at all
2
3
4
5
Perfectly
15
Q

What do the stress and stress-tensor appear as for pure sheer stress?

A
How well did you know this?
1
Not at all
2
3
4
5
Perfectly
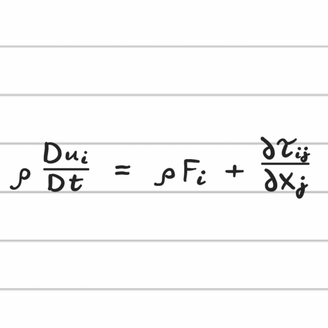
16
Q

What is Cauchy’s equation?

17
Q

What is the stress tensor for a Newtonian fluid?

18
Q

What does the rotation tensor acting on a fluid particle look like?

19
Q

When you want to know the force/tranction ON an object, does the normal vector point toward or away from it?

A

Away from it.