Differentials Flashcards

(6 cards)

1
Q

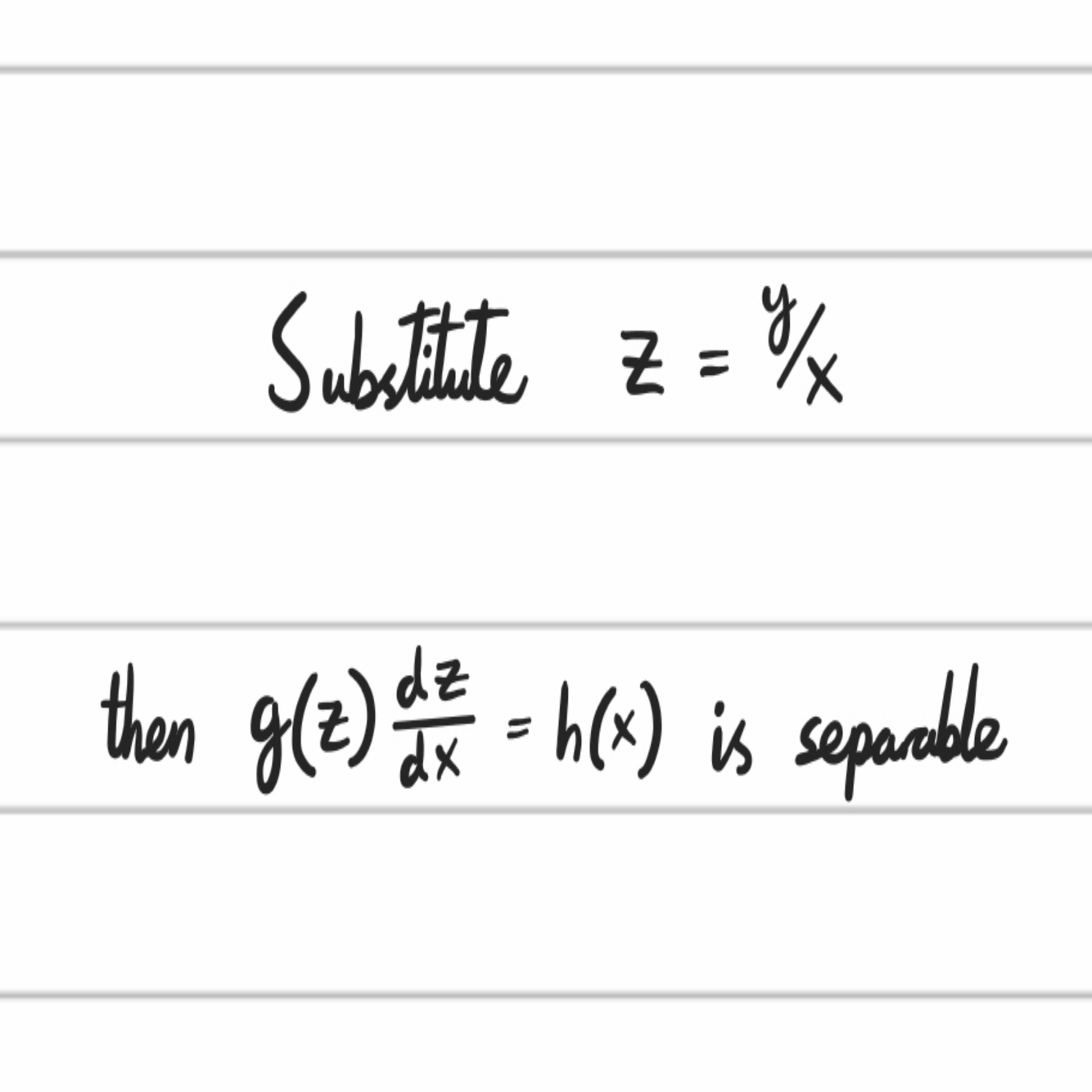
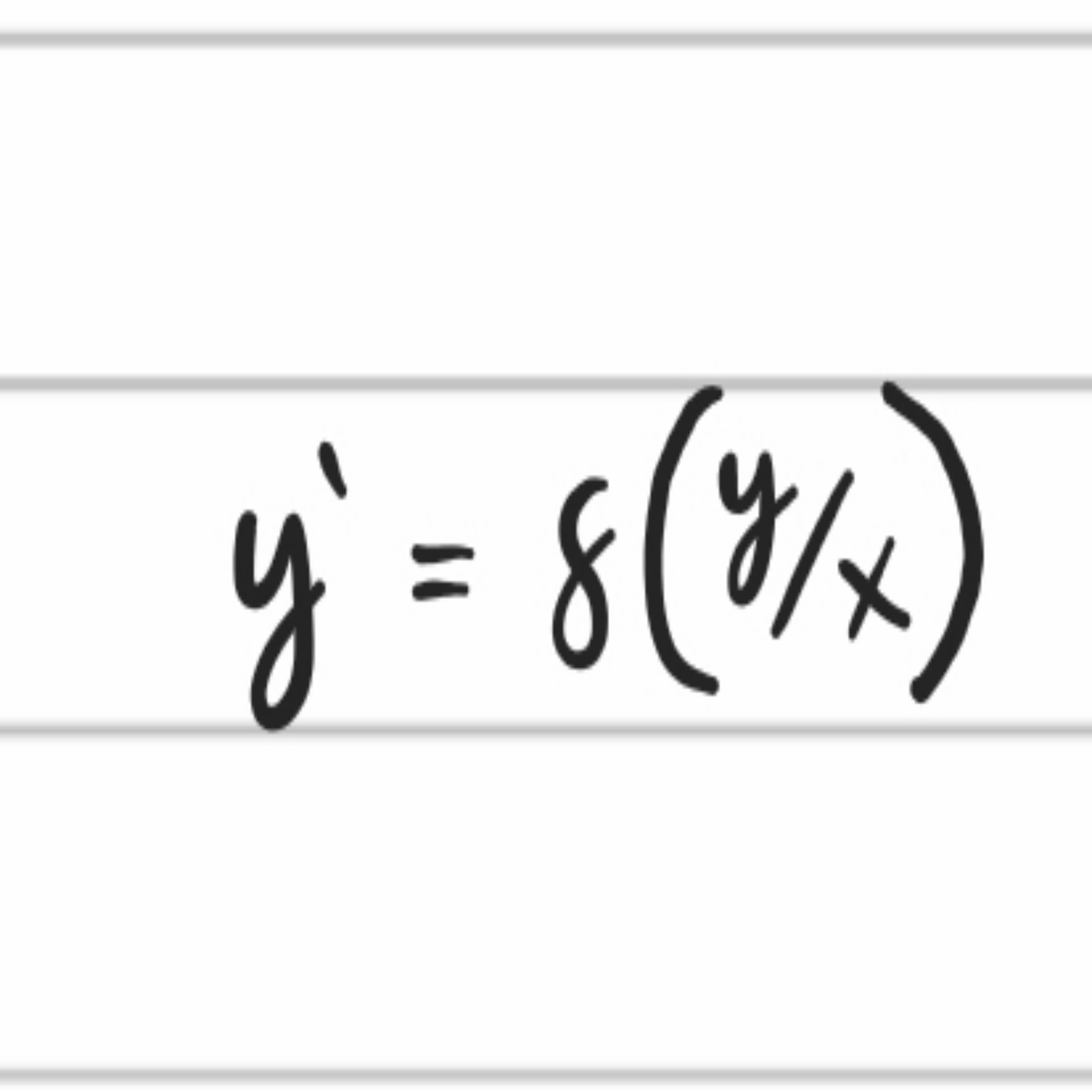
How do we solve homogenus equations?

A
How well did you know this?
1
Not at all
2
3
4
5
Perfectly
2
Q

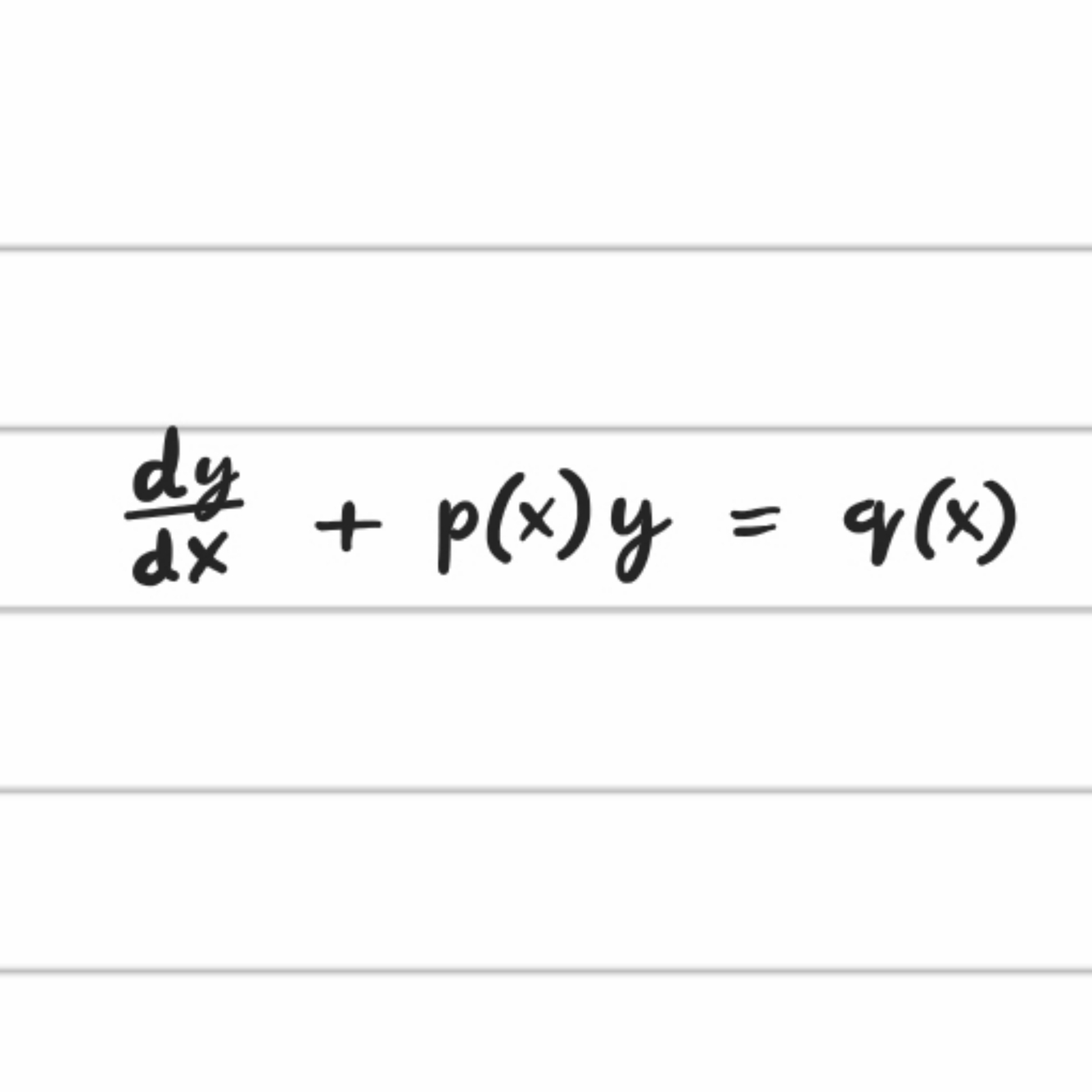
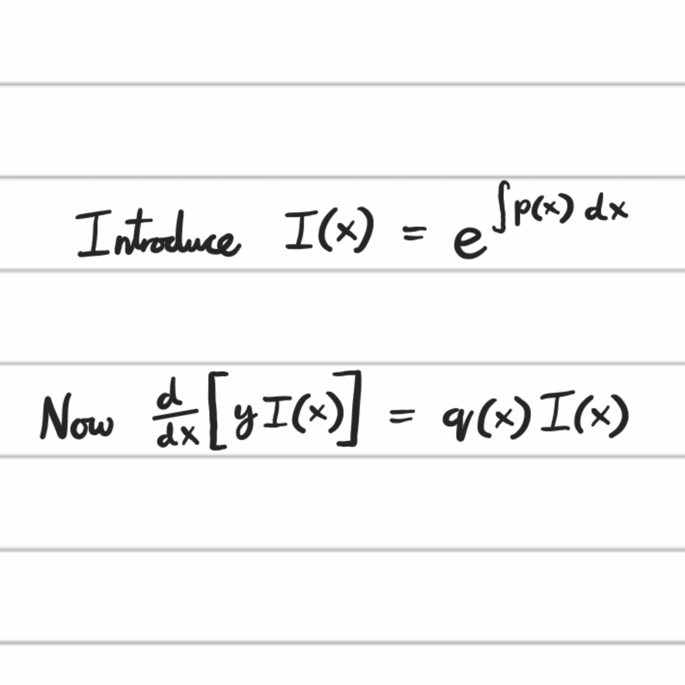
How do we solve linear ODEs in the form of…

A
How well did you know this?
1
Not at all
2
3
4
5
Perfectly
3
Q

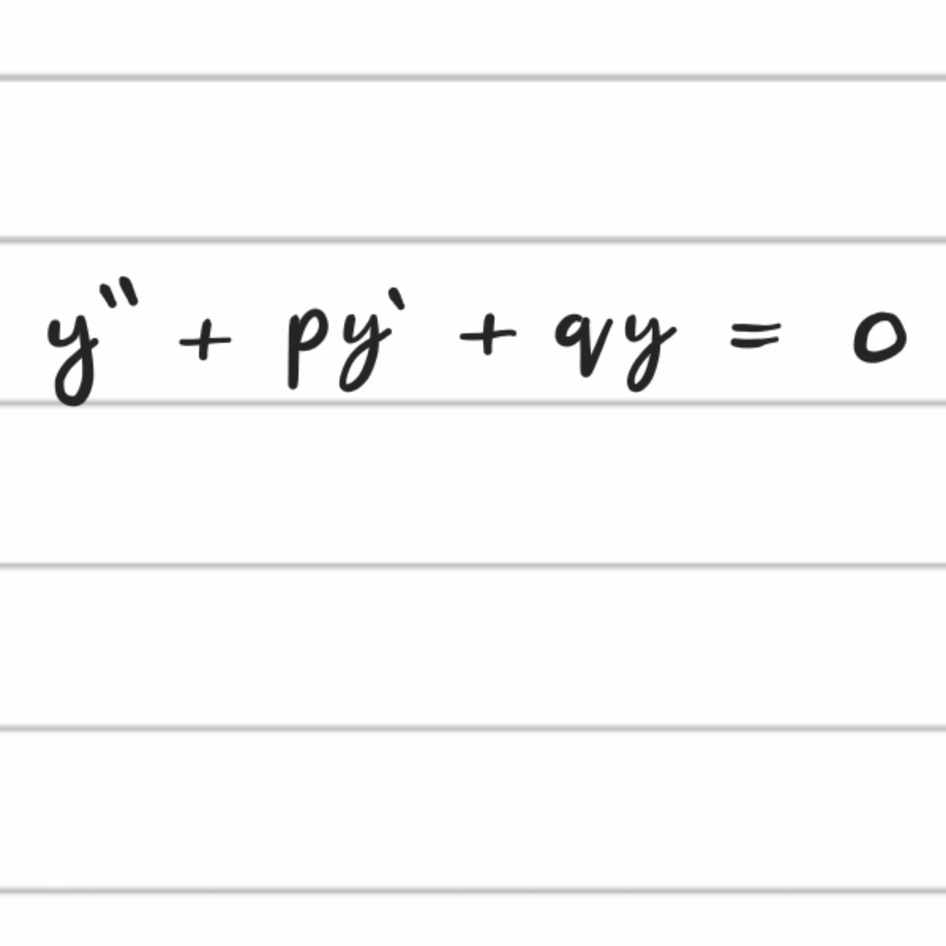
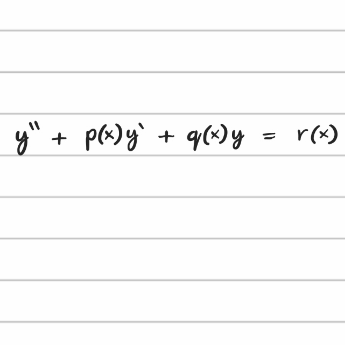
How do we solve these 2nd order ODEs?

A
How well did you know this?
1
Not at all
2
3
4
5
Perfectly
4
Q

How do we solve 2nd order ODEs with constant coefficients?

A
How well did you know this?
1
Not at all
2
3
4
5
Perfectly
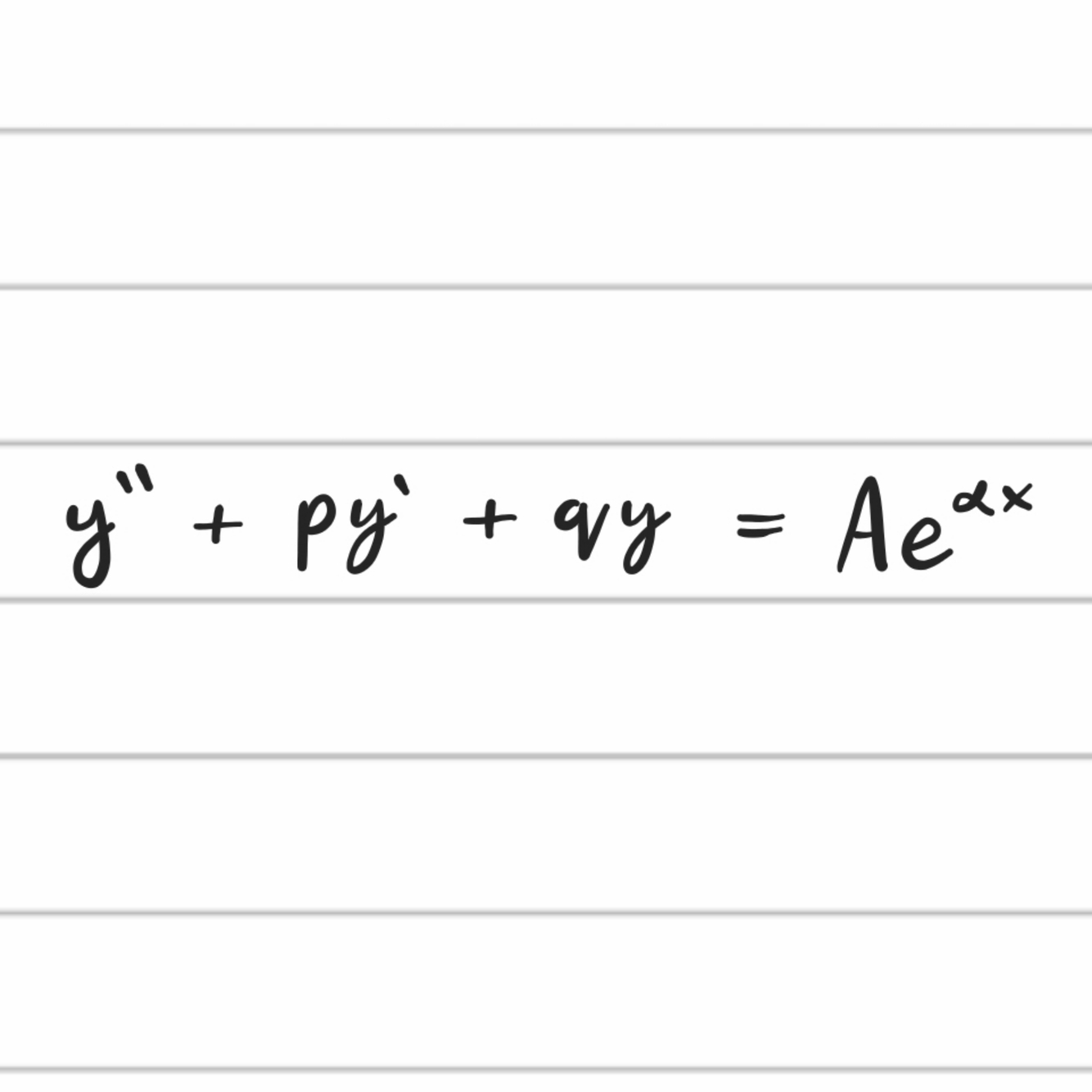
5
Q

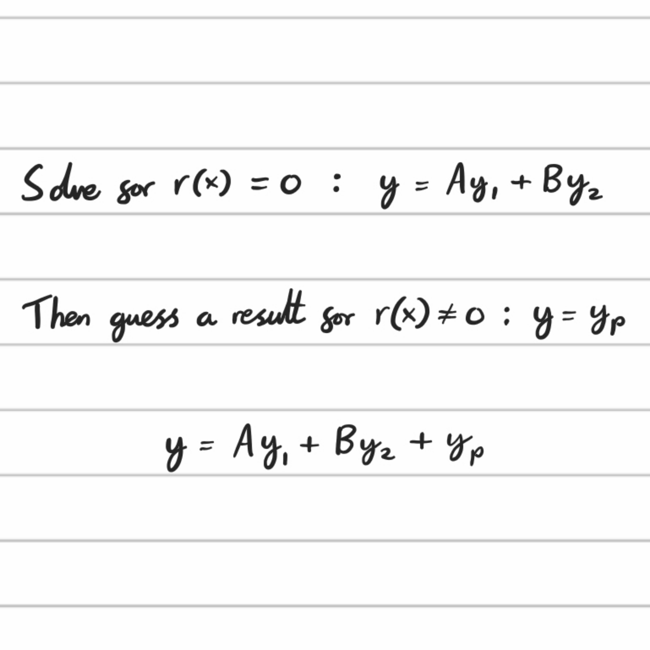
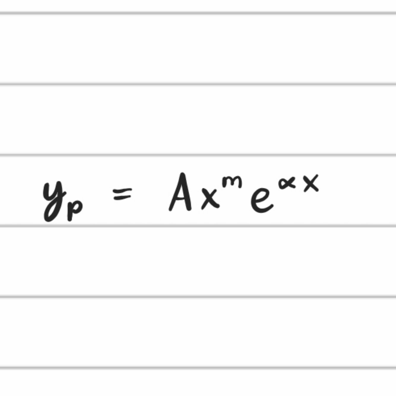
How do we find the particular solution of this 2nd order ODE?

A
How well did you know this?
1
Not at all
2
3
4
5
Perfectly
6
Q

How do we treat 2nd order ODEs like 1st order ODEs in the following two scenarios?

A
How well did you know this?
1
Not at all
2
3
4
5
Perfectly