

put the terms on the numerator that CANCEL the denominator out !

what to do here

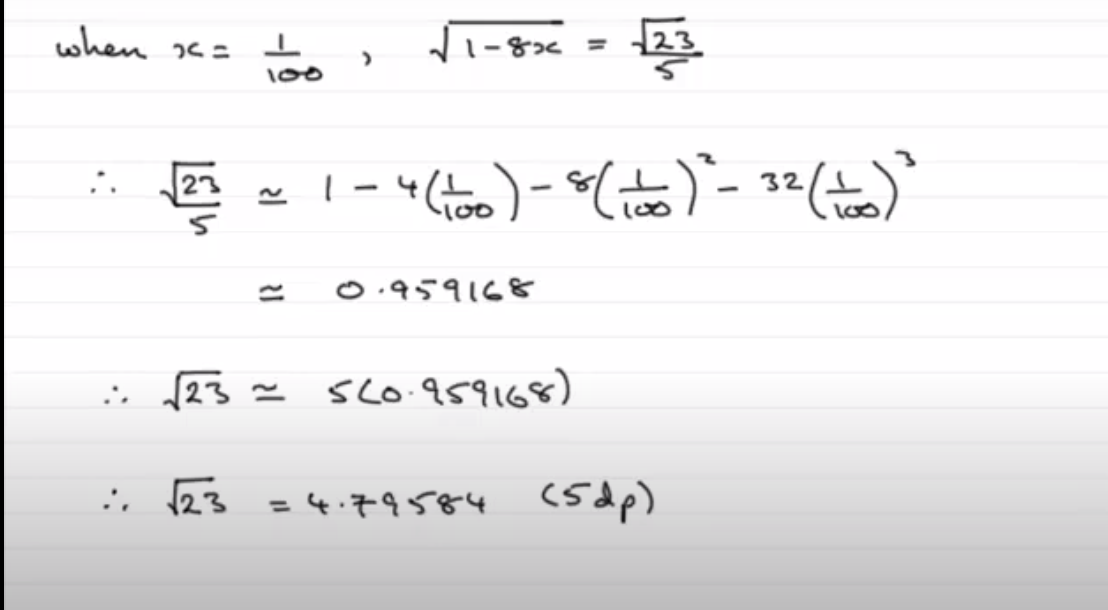
equate the orginal valeu to the substitutted appproximation
,then rearrange

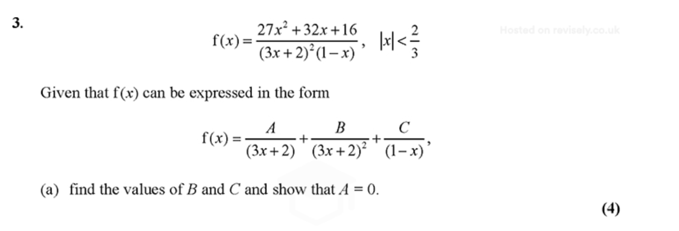
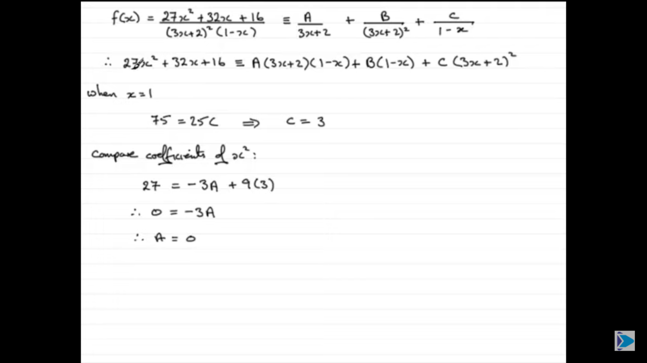
how to prove that A= 0?

compare coefficeints

“find the first 3 terms”
mke sure to multiply them all out and add together common coeffs (Eg x^2) instead of just getting the first 3 terms you find !