
if a square root is present, then youd have to use cos^2x or smth like that and manipulate it to x


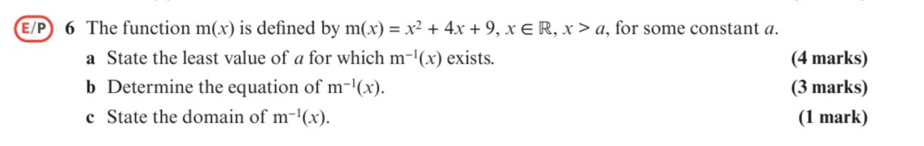
complete square, draw curve, recongise that its not a one to one function so you have to restrict the domain to where its a one to one function so restrict to x >/ 3
therefore the smallest value of a = 3

6a

