bioactivation case study Flashcards

(4 cards)

1
Q

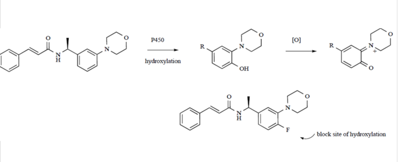
laropiprant

A

electron withdrawing me2SOreduces rate of oxidation/ bioactivation to acceptable levels

How well did you know this?
1
Not at all
2
3
4
5
Perfectly
2
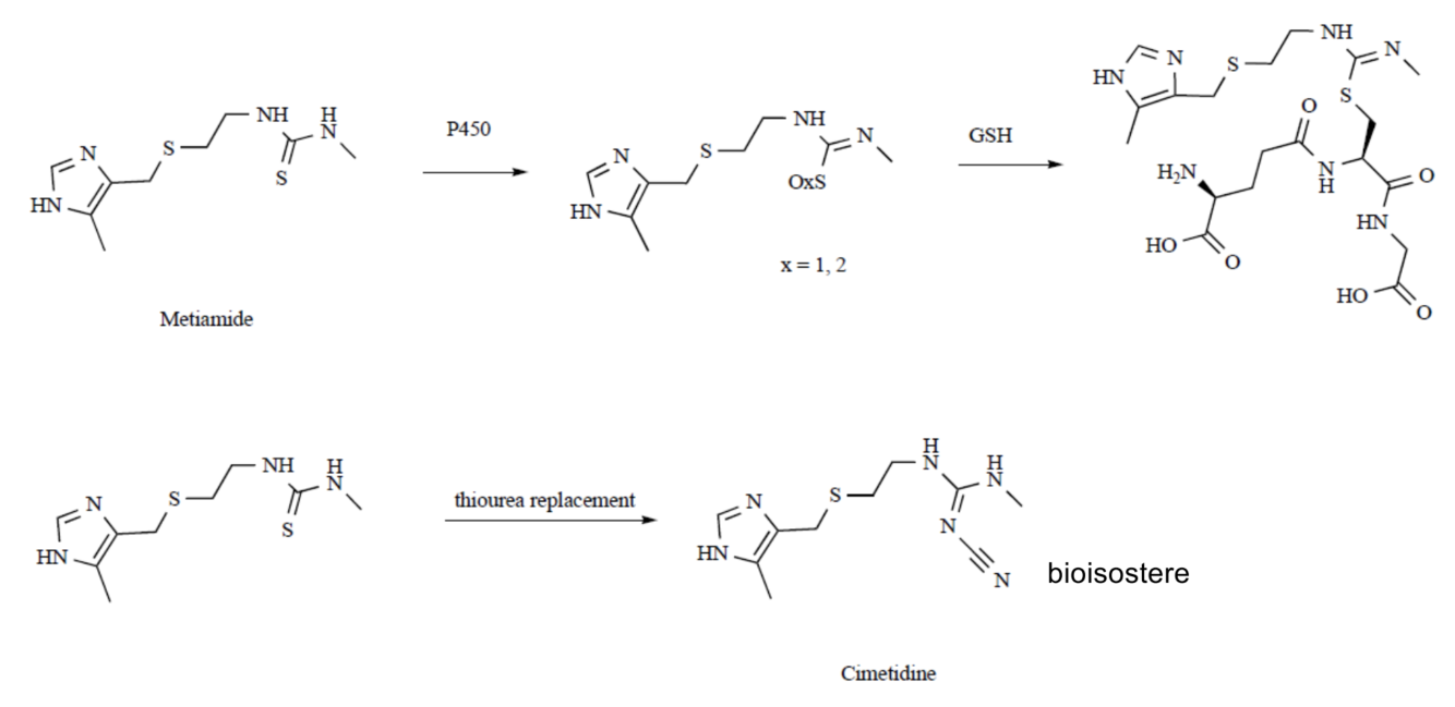
Q

Cimetidine

A

biosteric replacement slows GST based metabolism

How well did you know this?
1
Not at all
2
3
4
5
Perfectly
3
Q

Ion channel openener

A
How well did you know this?
1
Not at all
2
3
4
5
Perfectly
4
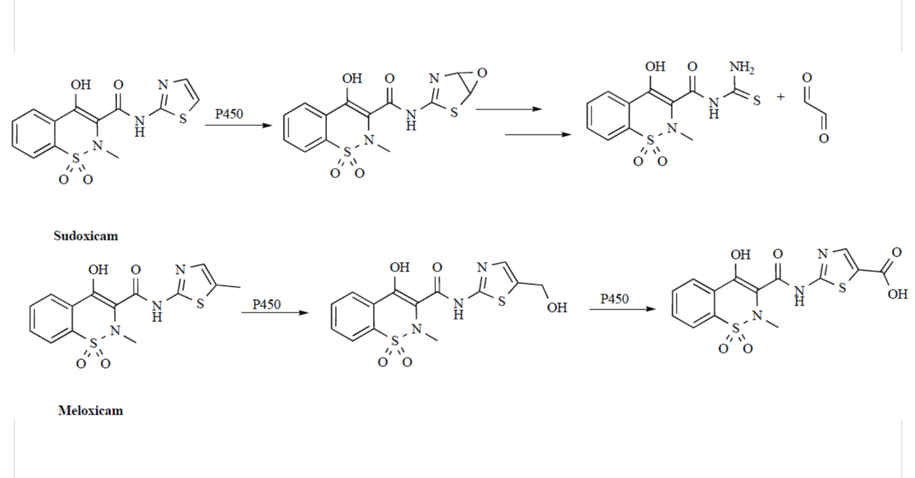
Q

Meloxicam

A
How well did you know this?
1
Not at all
2
3
4
5
Perfectly