Definition Lipide?
-Klasse biol. Substanzen, die stark hydrophob und schwer löslich sind -zeichnen sich nicht durch bestimmte funktionelle Gruppen aus
Definition Fettsäuren? Wie lassen sich diese unterscheiden? Was lässt sich zur Anzahl der Kohlenstoffatome sagen?
Was lässt sich zum Schmelzpunkt von Fettsäuren sagen?
Nomenklatur Regeln?
Was bedeutet cis bzw. trans-Isomerie? Wozu führt die cis-Konfiguration bei Doppelbindungen in Fettsäuren?

Was ist die ω-Nomenklatur?
Was ist Glycerin? Was sind Triacylglycerine? Wo kommen diese vor?

Was ist ein Glycerophospholipid? Woher kommt der amphiphile Charaker?

Welche Alkohole können in der Kopfgrupper von Phosphoglyceriden vor?
.

Wie unterscheiden sich die Membranen der Archaeen von Eukaryoten und Bakterien? Warum?
D-Konfiguration des Glycerols
-> hilft Organismen extreme Bedingungen zu überstehen
Was sind Phospholipasen?Warum werden diese in Schlangen oder Bienengift genutzt?

Was ist Sphingosin? Was ist ein Ceramid?

Was sind Sphingomyeline? Wo findet man diese häufig?

Was ist ein Cerebrosid?

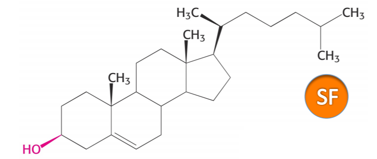
Was ist Cholesterin? Welche wichtigen Derivate?

Eigenschaften einer biolog. Membran?
-
Warum haben Phospholipide 2 Fettsäureschwänze?
Wie kann man die Permeabilität einer Membran bestimmen?
Was lässt sich über die Permeabilität von Lipiddoppelschchten für unterschiedliche Moleküle sagen?

Warum ist der Durchtritt von Membranen für Ionen so schwer?
Was ist FRAP?Was wurde herausgefunden?
=> Schnelligkeit Regeneration-> Schnelligkeit Lipide in D-Lösung
-Ergebnis: lateraldiffusion 1-2μm/s->1 E.Coli Zelle
Was besagt das Flüssigmosaik-modell?
-Membran als 2-dimensionale Flüssigkeit mit freier Beweglichkeit für Proteine und Lipide