What is the circuit for the boost converter?
[Picture5]

What are the features of the circuit?
> The output voltage is higher than the input voltage
> All components are considered to be ideal
> The input current to the boost converter is continuous
What happens when the switch is closed?
> The inductor is connected across the power supply
> The current will rise dramatically
What is the equations for the voltage across the inductor when the switch is closed?
Vi = L(∆ion / ton)
Vi = L(∆ion / KTS)
What happens when the switch is open?
> The inductor and the power supply are in series
> The voltage is higher
> The inductor discharges
What is the equations for the voltage across the inductor when the switch is open?
VL = L (∆ioff / toff)
VL = L (∆ioff / (1 - K)TS)
What is the relationship for the current when the switch is closed and open?
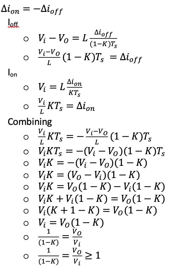
∆ion = -∆ioff
What is the voltage relationship equation?
1 / (1 - K) = VO / Vi
Derive the voltage relationship equation
[Picture6]

What are the power relationships for an ideal boost converter?
Pin = Pout
Pout = IOVO
Pin = Vi × iavg = Vi×Ii
IOVO = ViIi
VO / Vi = Ii / IO
What is the current relationship equation?
1 / (1 - K) = Ii / IO
Draw the waveforms for inductor current, switch voltage, switch current, diode current
[Picture7]

What is required to calculate the value of the inductor when the switch is closed?
> PWM Duty cycle
> Input voltage
> Switching frequency
> Input current change
What is required to calculate the value of the inductor when the switch is open?
> PWM Duty cycle
> Input voltage
> Output voltage
> Switching frequency
> Input current change
What is the assumption with C0?
> That it is so large that it can be ignored.
> In real world examples, this is not the case
What is the ∆Q for the time when the switch is closed?
∆Q = I0KTS = (IOK) / fS
What are the equation to calculate CO value? Derive it
C0 = IOK / (vO×fS)
C0 = VOK / (vO×R× fS)
Q = COvO
∆Q = (IOK) / fS
(IOK) / vOfS = CO
What is the equation to calculate the output voltage ripple?
∆vO / VO = KTS / COR
What is the average voltage of the inductor?
0V
What is the average switch voltage?
VS = VL + Vi = VI