What is the circuit for a fully controlled thyristor bridge rectifier with an inductive load?
[Picture15]

Draw the graphs for vS, vO, iO, iS for a fully controlled thyristor bridge rectifier with an inductive load
[Picture16]

What is the purpose of adding a highly inductive load?
> An inductor is normally used to improve the output current waveform
> If the inductor the inductor is sufficiently large (≈ ∞)then the output current constant.
What is control parameter ‘a’
> For the control of T1 and T4 ‘a’ represents the angle difference between the 0 phase for vS and the point when the pulse is applied to the gate of the thyristors.
> For the control of T2 and T3 ‘a’ represents the angle difference between the π phase for vS and the point when the pulse is applied to the gate of the thyristors.
For a 50Hz AC supply, where a = 36° when are T1, T2, T3, T4 applied?
T1 & T4 are applied 2ms after 0°
T2 & T3 are applied 2ms after π°
Describe the operation of a fully controlled thyristor bridge rectifier for one full cycle
ωt = 0
> T2 and T3 turn off
ωt = a
> T1 and T4 are fired
> T2 and T3 remain off
ωt = a ⇒ ωt = a + π
> vS = vO
> iS = iO
ωt = π
> T1 and T4 turn off
ωt = π + a
> T2 and T3 are fired
> T1 and T4 remain off
ωt = π + a ⇒ ωt = a + 2π
> -vS = vO
> iS = -iO
ωt = 2π
> T2 and T3 turn off
Draw the graphs for VS, VO for a fully controlled thyristor bridge rectifier with an inductive load for a = 0°, 30°, 60°
[Picture17]

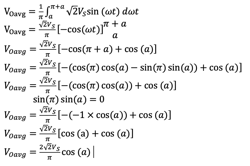
How is the average output voltage calculated?
VOavg = 1 / π ∫aa+π vS dωt
What is the simple equation for the output voltage in terms of the RMS value for the supply voltage and the value ‘a’? Derive it
VOavg = 0.9VScos(a)
[Picture18]

What is the equation to calculate the supply current harmonics? Where does it come from?
ish(t) = 4IO / hπ × sin[h(ωt - α)]
From Fourier analysis: is(t) = ∑h=1∞ ish(t)
When does the equation for harmonics apply?
Only for odd values of h / odd harmonics
What happens if we try and find the current supply for an even harmonic?
ish(t) = 0
What is the equation to calculate the fundamental harmonic of a fully controlled thyristor bridge rectifier?
Is1 ≈ 0.9IO
What is the equation for the first harmonic of current and the RMS input current for a fully controlled bridge rectifier?
Is1 / Is = 0.9
What is the relationship for RMS input current and RMS output current?
IS = IO
What are 2 equations for power on the AC side of a fully controlled thyristor bridge rectifier?
P = VS × IS1 × cos(a)
P = 0.9 × VS × IO × cos(a)
What are 2 equations for the power factor on the AC side of a fully controlled thyristor bridge rectifier?
PF = (Is1 / IS) × DPF
PF = 0.9cos(α)
What is the equation for the displacement power factor?
DPF = cos(α)
What is the equation for the output power of a fully controlled thyristor bridge rectifier?
Pout = VOavg × IO
What is the equation for the input power of a fully controlled thyristor bridge rectifier?
Pin = VS × IS1 ×cos(θ)
or
Pin = VS × IS1 × DPF
What is the relationship of power for an ideal rectifier?
Pin = Pout
What is the equation for power factor for and ideal rectifier in terms of RMS supply currents and voltages?
PF = Pout / (VS × IS)
What is the equation for power factor for and ideal rectifier in terms of control parameter ‘a’?
PF = 0.9cos(α)