Stages of BPM lifecycle
1 Envision
2 Assess
3 Define
4 Execute
5 Optimise
Envision in detail

Benefits of BPM
Useful in GLOBALISATION (more information, complexity, demand, less time, …)
Definition of Business process modelling (BPM)
Corresponding vs. Abstract Models
Corresponding models have structures / elements correspond (under some rules) to something which they model.
Abstract models are removed in some way from that which they model. They represent only some aspects.
Four Element Categories
1. Flow objects
2. Connecting objects
3. Swim-lanes and Pools
4. Artefacts





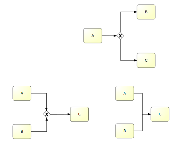
Gateways are used to control the divergence and convergence of a sequence flow.
Control-Flow Patterns with Gateways:





What are Inclusive Gateway and how to represent them?
Choose 1 or more pathways

Function of a Complex Gateway
Used whenever it’s not possible to map one the process logic using one of the other gateways.

Represent Subprocesses
A sub-process contains a series of tasks

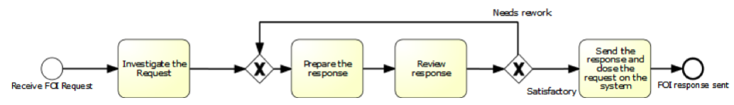
Rework and Repetition in BPMN
Often in a process something has to be checked.

repeating tasks and repeating subprocesses in BPMN

repeating a task or sub-process in parallel

Artifacts in BPMN

Artifact Groups in BPMN

Connecting Objects in BPMN

Pool vs. Swimlanes
Pools
Swimlanes

Communication between Pools in BPMN
a dashed line

3 BPM tools
Process mapping
Business process simulation
Business activity monitoring (BAM)
Because of the simple rules, tools can easily check whether the diagram is logically correct.
BPM in the organsiational context
BPM aims to develop and execute on a perpetual value-generation cycle, where value is realised by continuous process improvement in an effort to sustain market competitiveness and dominance.
BPM, by using business processes as the fundamental construct, strives to maximise overall bottom line by integrating verticals and optimising core work.
BPM provides the platform that enables the business functions embedded within applications and systems to interact and integrate at a level higher than application-to-application and data integration. This collaboration platform shields customers, suppliers, and trading partners from the technology dependencies of an enterprise’s application portfolio, and provides an orchestration substrate to execute and manage end-to-end business processes.