C13 (Numerical Methods) Flashcards

(14 cards)

1
Q

locating a root

A

look for a sign change

a root is where f(x) = 0

How well did you know this?
1
Not at all
2
3
4
5
Perfectly
2
Q

improving the precision of a root (2 methods)

A

interval bisection: cutting the interval in half after every iteration (i.e if root is between 5 and 5.8, then test 5.4, then 5.2 then 5.3 or 5.1)

decimal search: systematically increasing no. sig figs (i.e if root between 1-2, then test 1.1, 1.2, 1.3 … then 1.31, 1.32, 1.33.

if it is asking for the root to 2dp, you need to calculate the interval to 3dp, to see if it rounds up

How well did you know this?
1
Not at all
2
3
4
5
Perfectly
3
Q

iterative formula

A
How well did you know this?
1
Not at all
2
3
4
5
Perfectly
4
Q

rearrange into iterative formula (and solve if u want)

A
so -1.487...
How well did you know this?
1
Not at all
2
3
4
5
Perfectly
5
Q

how to draw cobweb/staircase diagram

A

sketch curve and line y = x

draw line vertically to curve, then horizonatally to y = x, then vertically to curve, then horizontally to y = x …

How well did you know this?
1
Not at all
2
3
4
5
Perfectly
6
Q

staircase diagram

A

Successive iterations get closer to the root,
approaching the root from the same direction. This
is graphically represented by a “staircase” diagram.

How well did you know this?
1
Not at all
2
3
4
5
Perfectly
7
Q

cobweb diagram

A

Successive iterations alternate between being
above and below the root. This is graphically represented
by a “cobweb” diagram.

How well did you know this?
1
Not at all
2
3
4
5
Perfectly
8
Q

central estimate/difference concept

A

estimating the gradient of a point by drawing a line parallelish to the tangent and finding its gradient

How well did you know this?
1
Not at all
2
3
4
5
Perfectly
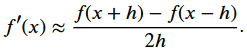
9
Q

central difference formula

A

the difference between the function’s (y) values at points (x+h) and (x-h), divided by the distance (2h) between them:

How well did you know this?
1
Not at all
2
3
4
5
Perfectly
10
Q

foward/backward distance

A

going from point x to either (x + h) or (x - h) and dividing by h

How well did you know this?
1
Not at all
2
3
4
5
Perfectly
11
Q
A
How well did you know this?
1
Not at all
2
3
4
5
Perfectly
12
Q

finding area under a curve using rectangles

A

remember, add up y’s, then multiply by h (width of each rectangle)

How well did you know this?
1
Not at all
2
3
4
5
Perfectly
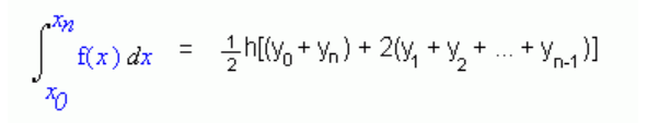
13
Q

trapezium rule

A
How well did you know this?
1
Not at all
2
3
4
5
Perfectly
14
Q

3 applications of numerical methods

A

gradient of d/t graph = speed

gradient of s/t graph = acceleration
area under s/t graph = distance travelled

How well did you know this?
1
Not at all
2
3
4
5
Perfectly