C2 (Polynomials, Factor Theorem, Completing the Square) Flashcards

(8 cards)

1
Q

2.1 (full)

A
How well did you know this?
1
Not at all
2
3
4
5
Perfectly
2
Q
A
How well did you know this?
1
Not at all
2
3
4
5
Perfectly
3
Q

the factor theorem
for polynomial f(x) = (x-a)(x-b) what are roots, what are factors

A

if (x-a) is a factor of polynomial f(x):
f(a) = 0
x = a is a root of the equation f(x) = 0
the converse is true - if f(a) = 0, (x-a) is a factor of f(x)

How well did you know this?
1
Not at all
2
3
4
5
Perfectly
4
Q

2.2

A

2.2

How well did you know this?
1
Not at all
2
3
4
5
Perfectly
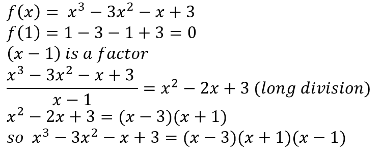
5
Q

factorise fully (into 3 brackets)

A
How well did you know this?
1
Not at all
2
3
4
5
Perfectly
6
Q

the discriminant

A

b2 - 4ac

if > 0 then 2 roots (crosses x axis)
if = 0 then 1 root - but this is a double root (tangent to x axis)
if < 0 then no roots (doesnt cross x axis)

How well did you know this?
1
Not at all
2
3
4
5
Perfectly
7
Q

finding the turning point:
y=a(x+p)2+q

A

(-p,q)

How well did you know this?
1
Not at all
2
3
4
5
Perfectly
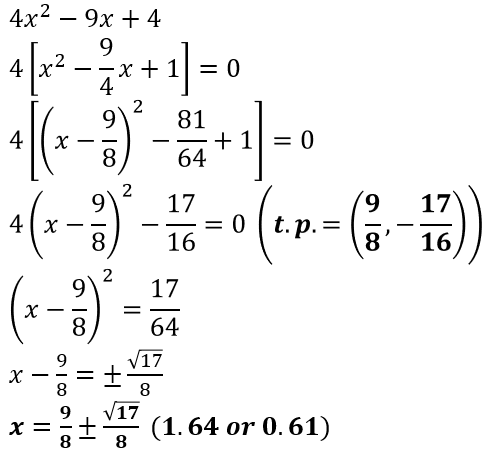
8
Q

solve by completing the square (and find the turning point)

A
How well did you know this?
1
Not at all
2
3
4
5
Perfectly