Carboxylic Acids Flashcards

With its relationship to amino acids, carboxylic acid function is a major topic in both organic chemistry and biochemistry. With these cards, you can master the content knowledge required to attack a tricky question or understand a reaction mechanism. (47 cards)

1
Q

Define:

carboxylic acid

A

It is an organic acid that contains a carboxyl (-COOH) group.

Carboxylic acids have IUPAC names that end in “-oic acid” (propanoic acid, for example).

How well did you know this?
1
Not at all
2
3
4
5
Perfectly
2
Q

Which of the following acids (top or bottom) is a carboxylic acid?

A

The top molecule is a carboxylic acid due to the presence of a carboxyl (-COOH) group.

To be classified as a carboxylic acid, an acid must contain at least one carboxyl group. Here, the molecule on the bottom contains a sulfonyl instead.

How well did you know this?
1
Not at all
2
3
4
5
Perfectly
3
Q

Which of the following acids is a carboxylic acid?

  • phosphoric acid
  • benzenesulfonic acid
  • pentanoic acid
A

pentanoic acid

Carboxylic acids are named by adding the suffix “-oic acid” to the IUPAC name for the base chain. Pentanoic acid consists of a five-carbon chain (“pentane”) with a carboxyl group (“-oic acid”).

How well did you know this?
1
Not at all
2
3
4
5
Perfectly
4
Q

What is the IUPAC name of this molecule?

A

ethanoic acid

Carboxylic acids are named by adding the suffix “-oic acid” to the IUPAC name for the base chain. Ethanoic acid is commonly known as acetic acid. For the MCAT, you should know both the IUPAC and common names for this molecule.

How well did you know this?
1
Not at all
2
3
4
5
Perfectly
5
Q

What is the IUPAC name of this molecule?

A

ethanedioic acid

Dicarboxylic acids are named by adding the suffix “-dioic acid” to the IUPAC name, indicating that two carboxyl groups are attached. Ethanedioic acid is commonly known as oxalic acid (H2C2O4)

How well did you know this?
1
Not at all
2
3
4
5
Perfectly
6
Q

What is the IUPAC name of this molecule?

A

benzoic acid

Carboxylic acids are named by adding the suffix “-oic acid” to the IUPAC name for the base chain. In this case, the benzene ring is the base chain.

How well did you know this?
1
Not at all
2
3
4
5
Perfectly
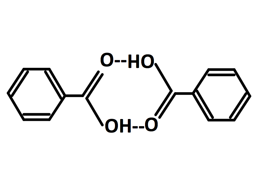
7
Q

Define:

hydrogen bonding

A

It is the strongest of the dipole-dipole interactions. It occurs between molecules that contain hydrogen bound to highly electronegative atoms (F, O, or N).

Carboxylic acids contain O-H bonds and can participate in hydrogen bonding, including the formation of dimers.

How well did you know this?
1
Not at all
2
3
4
5
Perfectly
8
Q

How many hydrogen bonds can a single carboxylic acid molecule form with another?

A

Two hydrogen bonds:

  • one from the polar C=O group to a new hydrogen
  • one from the O-H group to an oxygen

This results in the formation of cyclic dimers and very high boiling points.

How well did you know this?
1
Not at all
2
3
4
5
Perfectly
9
Q

How do the boiling points of carboxylic acids compare to those of other types of molecules?

Assume all compounds have similar molecular weight, chain length, and branching.

A

Carboxylic acids tend to have higher boiling points due to their strong intermolecular forces.

Carboxylic acids contain O-H groups that allow them to form hydrogen bonds. Hydrogen bonding is a stronger force than dipole-dipole or dispersion forces, and it significantly increases boiling point.

How well did you know this?
1
Not at all
2
3
4
5
Perfectly
10
Q

Rank the following molecules from highest to lowest boiling point:

  • Butanone
  • Butanol
  • Butanoic acid
  • Butane
A

Butanoic acid > butanol > butanone > butane

Since butanoic acid is able to form hydrogen bond dimers, it has the highest boiling point. Though less significant, the hydrogen bonding in butanol is stronger than the dipole-dipole forces in butanone. Finally, as a nonpolar molecule, butane has only weak dispersion forces.

How well did you know this?
1
Not at all
2
3
4
5
Perfectly
11
Q

Define:

dimer

A

This is a pair of two structurally similar molecules linked together by chemical bonds.

Here, dimers refer to carboxylic acids linked by hydrogen bonds. In the biology section of the MCAT, however, dimers can relate to a variety of proteins and other molecules.

How well did you know this?
1
Not at all
2
3
4
5
Perfectly
12
Q

How many hydrogen bonds are involved when two molecules of acetic acid form a dimer?

A

The homodimer formed would be linked by two hydrogen bonds.

A homodimer implies that both molecules are the same. Though it is possible to form heterodimers between different carboxylic acids, this is rarely tested on the MCAT.

How well did you know this?
1
Not at all
2
3
4
5
Perfectly
13
Q

How many hydrogen bonds are involved when two molecules of benzoic acid form a dimer?

A

The homodimer formed would be linked by two hydrogen bonds.

A homodimer implies that both molecules are the same. Though it is possible to form heterodimers between different carboxylic acids, this is rarely tested on the MCAT.

How well did you know this?
1
Not at all
2
3
4
5
Perfectly
14
Q

Which type of solvent is best for dissolving carboxylic acids?

A

polar protic solvents

Remember that “like dissolves like.” Carboxylic acids are highly polar due to the presence of the carboxylate group, and would thus dissolve best in a polar solvent. They also have the ability to form hydrogen bonds, which is a characteristic of polar protic solvents in particular.

How well did you know this?
1
Not at all
2
3
4
5
Perfectly
15
Q

In which of the following solvents will a carboxylic acid dissolve most readily?

  • water
  • ethane
  • cyclohexane
A

water

A simple carboxylic acid will dissolve most readily in water, a polar solvent that forms hydrogen bonds.

Remember that “like dissolves like.” Both ethane and cyclohexane are nonpolar, making them very different from a carboxylic acid.

How well did you know this?
1
Not at all
2
3
4
5
Perfectly
16
Q

How is the acidity of a carboxylic acid affected by the inductive effects of its substituents?

A

Acidity increases if substituent groups are electron-withdrawing. Such groups can delocalize the negative charge on the carboxyl group, stabilizing the conjugate base.

In contrast, electron-donating groups decrease the acidity, since they contribute extra electron density and destabilize the carboxyl group.

How well did you know this?
1
Not at all
2
3
4
5
Perfectly
17
Q

Which of the following (top or bottom) is a stronger acid?

A

The bottom acid (acetic acid).

The top acid is propanoic acid. Its extra alkyl group (circled) is electron-donating, which destabilizes the negative charge of the carboxylate ion. The less stable the conjugate base, the weaker the original acid, and vice versa.

How well did you know this?
1
Not at all
2
3
4
5
Perfectly
18
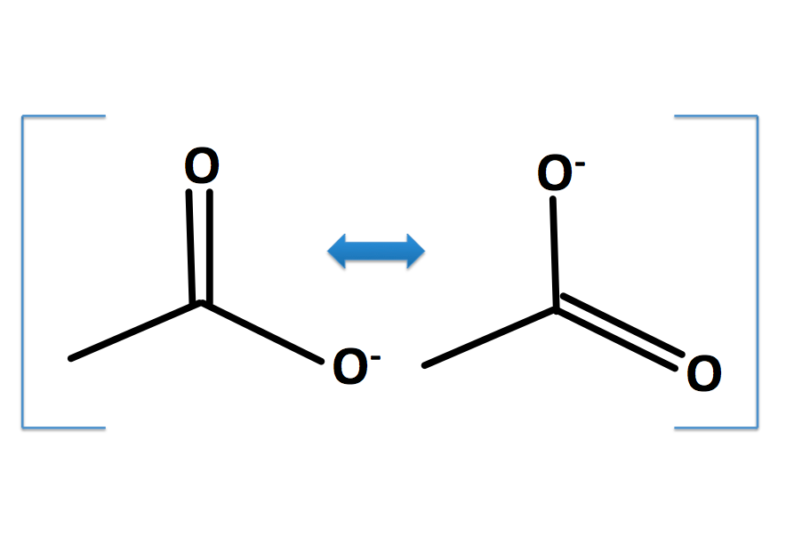
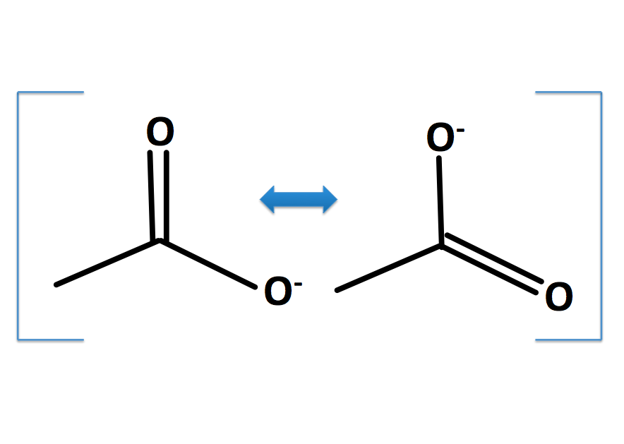
Q

How does resonance affect the acidity of a carboxylic acid?

A

It increases the acidity. It allows the carboxylate ion’s negative charge to be delocalized between the oxygen atoms of the carboxyl group.

Each oxygen atom receives a partial negative charge, as well as a bond strength of 1.5 between it and the central carbon.

How well did you know this?
1
Not at all
2
3
4
5
Perfectly
19
Q

Which of the following two molecules (top or bottom) is a stronger acid?

A

The top (carboxylic acid) is much more acidic than the bottom (alcohol) molecule.

This increased acidity is due to the resonance stabilization of the carboxylate ion.

Resonance delocalizes the negative charge, which stabilizes the conjugate base and increases acidity. In general, alcohols have relatively low acidity.

20
Q

How does the number of electron-withdrawing groups affect the acidity of a carboxylic acid?

A

The more electron-withdrawing groups, the stronger the acid. These groups stabilize the conjugate base by delocalizing the electron density of the negative charge.

Additional electron-donating groups, in contrast, decrease the acidity.

21
Q

Which of the following molecules is a stronger acid, and why?

A

The bottom molecule (the carboxylic acid with two chlorine substituents).

The presence of an additional electron-withdrawing group increases the stability of the carboxylate ion.

22
Q

Which of the following molecules is a stronger acid, and why?

A

The top molecule (the carboxylic acid with fewer alkyl substituents, which is isobutyric acid).

This molecule has fewer electron-donating groups. The more such groups present on the molecule, the more electron density they contribute to the carboxylate ion, and the more the conjugate base is destabilized (which decreases acidity).

23
Q

How is the acidity of a carboxylic acid affected by the electronegativity of its substituents?

A

More electronegativity near a carboxyl group increases the acidity.

The higher the electronegativity of a substituent, the more it delocalizes the negative charge on the carboxyl group, resulting in a more stable conjugate base and a stronger acid.

24
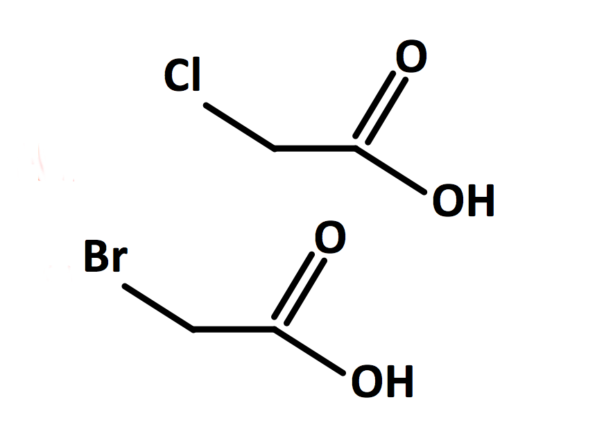
Q

Which of the following molecules is a stronger acid, and why?

A

The top molecule (chloroacetic acid) is a stronger acid.

Chlorine is more electronegative than bromine. It is thus better able than bromine to delocalize the carboxylate ion’s negative charge. More delocalization of charge means greater acidity.

25
How is the **acidity** of a carboxylic acid affected by the distance of an electron-withdrawing group from the carboxyl carbon?
A carboxylic acid with an electron-withdrawing group farther from the carboxyl carbon will be **less acidic** than one with a closer electron-withdrawing group. ## Footnote The inductive effects of both electron-donating and electron-withdrawing substituents decrease with distance.
26
Which of the following carboxylic acids is a **stronger acid**, and why?
The **top** acid is a stronger acid because its electron-withdrawing group is closer to the carboxyl. ## Footnote The inductive effects of electron-withdrawing groups decrease with distance. For this reason, a group on the alpha carbon will exert a greater effect than one on the beta carbon.
27
In a carboxyl group, what **charges** do each of the atoms carry?
* The oxygens carry a partial **negative** charge. * The carbon carries a partial **positive** charge.
28
In a reaction, what **role** would likely be played by the carbon atom in a carboxyl group?
electrophile ## Footnote Electrophiles are usually positively charged, or electron-deficient. They receive electrons in a reaction and are subject to nucleophilic attack. With a partial positive charge, the carboxyl carbon is a classic electrophile.
29
In a reaction, what **role** would likely be played by the oxygen atom in the -OH of a carboxyl group?
nucleophile ## Footnote Nucleophiles are usually negatively charged, or electron-rich. They donate electrons in a reaction and attack electrophiles, such as the carbon atom in a carbonyl group. With its lone pairs, -OH is a classic nucleophile.
30
Why is the **alpha carbon** of a carboxylic acid especially reactive?
It has the **ability to form an enol** (and an enolate ion) at the alpha position. This renders that carbon much more reactive than the others in the chain. ## Footnote Carboxylic acids often require conversion to an enolizable form before reactions at the alpha carbon can occur.
31
Briefly **describe** the nucleophilic attack of a carboxylic acid.
The attack will produce an intermediate with a negative charge on its carbonyl oxygen. ## Footnote To regain a low final energy state, nucleophilic substitution must occur. This includes the reformation of the carbonyl double bond and the loss of a leaving group.
32
What **intermediate** will most likely form when a nucleophile attacks the carboxylic acid below?
The nucleophile would attack the **electron-deficient carboxyl carbon atom**, yielding the intermediate shown here. ## Footnote This type of attack and intermediate is common in many reactions involving carboxylic acids, including reduction, ester formation, and acyl halide formation.
33
# Define: α-halogenation
It is the **substitution** of a halide atom for a hydrogen at the alpha carbon of a carboxylic acid. ## Footnote This reaction commonly involves Br2 and a catalytic amount of PCl3 or PBr3. It proceeds through the formation of an acid bromide enol.
34
What **product** will form when the carboxylic acid below is α-halogenated with bromine?
It will form an α-bromo acid, in which **bromine substitutes for a hydrogen** at the carboxylic acid's alpha carbon. ## Footnote An acid bromide intermediate is produced and converted to its enol form, which reacts with bromine.
35
What **name** is given to the most common mechanism by which substitution reactions of carboxylic acids occur?
nucleophilic acyl substitution ## Footnote In this mechanism, the nucleophile attacks the carbon of the carboxyl group and substitutes for the leaving group (a hydroxyl group, in the case of a carboxylic acid).
36
What **product** will be formed by the nucleophilic acyl substitution shown below?
**acyl chloride** (specifically, acetyl chloride) ## Footnote Acyl chlorides are very reactive carboxylic acid derivatives that are useful for the synthesis of other, less reactive molecules. SOCl2, or thionyl chloride, is often used in their synthesis.
37
What **type** of molecule will be formed by the strong reduction of a carboxylic acid?
Strong reducing agents can convert carboxylic acids into their corresponding **primary alcohols**. ## Footnote A common strong reducing agent on the MCAT is LiAlH4. NaBH4, another reductant, is not as strong and generally reduces carboxylic acids to aldehydes.
38
What **product** will be formed by the reduction of the following carboxylic acid with LiAlH4?
**primary alcohol** (isobutanol) ## Footnote LiAlH4 is a strong reducing agent. It can convert carboxylic acids (here, isobutanoic acid) to their corresponding alcohols.
39
# Define: decarboxylation
This is the **loss of a CO2 molecule** when the carboxyl group is effectively removed from a carboxylic acid. ## Footnote When carboxylic acids undergo decarboxylation reactions, the number of carbon atoms decreases by one. A hydrogen atom attaches in the place of the original carbon.
40
What **product** will form when the following carboxylic acid undergoes a decarboxylation reaction?
Benzoic acid will undergo decarboxylation to form **benzene**. ## Footnote As with all decarboxylation reactions, a CO2 group is lost from the molecule.
41
What **product** will form when the following carboxylic acid undergoes a decarboxylation reaction? ## Footnote Don't worry about naming this product; simply describe it.
It will **resemble the original molecule**, but with a CO2 removed. The NH2 group will extend into the newly open space, though that is not important to know. ## Footnote This reaction happens to also have biological significance, as it is the decarboxylation of tryptophan to form tryptamine.
42
What **product** will form when the following carboxylate ion (pyruvate) undergoes a decarboxylation reaction in the presence of HS-CoA?
The decarboxylation of pyruvate produces **acetyl-CoA**. This reaction is an example of enzyme-catalyzed oxidative decarboxylation. ## Footnote This happens during aerobic cellular respiration, just prior to the Krebs cycle.
43
# Define: esterification
This is the synthesis of an ester from a carboxylic acid and an alcohol. It is **a dehydration reaction**. ## Footnote This reaction is commonly carried out by heating the carboxylic acid and alcohol in the presence of an acid catalyst.
44
In the IUPAC convention, what **functional group** is denoted by the suffix **"-oate"**?
The "-oate" ending denotes an ester. Specifically, esters are named as follows: * alcohol substituent is given the suffix "-yl" * carboxylic acid substituent is given the "-oate" ending ## Footnote A common ester on the MCAT is ethyl ethanoate, which is formed from ethanol and ethanoic acid.
45
What is the IUPAC **name** for the ester formed from the molecules below?
This is called **methyl ethanoate**, due to its methanol and ethanoic acid parent groups. ## Footnote Note that this reaction shows the removal of a water molecule, since esters are synthesized via dehydration.
46
What is the IUPAC **name** for the ester formed from the molecules below?
This is called **ethyl propanoate**, due to its ethanol and propanoic acid parent groups. ## Footnote Note that this reaction shows the removal of a water molecule, since esters are synthesized via dehydration.
47
When an alcohol and a carboxylic acid are combined in solution and heated, what **reaction** is expected to occur? What **product(s)** will form?
An **esterification** reaction will occur between the alcohol and carboxylic acid. The expected products include an ester and water. ## Footnote Esterification reactions are commonly conducted in the presence of an acid catalyst.