CC2 - Applications et Continuité Flashcards

(62 cards)

1
Q

Définir une application qui tend vers l en a.

A
How well did you know this?
1
Not at all
2
3
4
5
Perfectly
2
Q

Donner la définition de la limite de f en terme de distance.

A
How well did you know this?
1
Not at all
2
3
4
5
Perfectly
3
Q

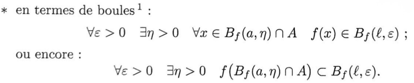
Donner la définition de la limite de f en terme de boules.

A
How well did you know this?
1
Not at all
2
3
4
5
Perfectly
4
Q

Énoncer la caractérisation séquentielle de la limite.

A
How well did you know this?
1
Not at all
2
3
4
5
Perfectly
5
Q

Démontrer la caractérisation séquentielle de la limite.

A
How well did you know this?
1
Not at all
2
3
4
5
Perfectly
6
Q

Montrer que si f : A —> F tend vers l en a, alors l est adhérent à f(A).

A
How well did you know this?
1
Not at all
2
3
4
5
Perfectly
7
Q

A-t-on unicité de la limite pour les fonction définies dans des evn ? Le démontrer.

A
How well did you know this?
1
Not at all
2
3
4
5
Perfectly
8
Q

Quand dit on que f admet une limite en a ?

A
How well did you know this?
1
Not at all
2
3
4
5
Perfectly
9
Q

Énoncer et démontrer la stabilité par restriction de la limite.

A
How well did you know this?
1
Not at all
2
3
4
5
Perfectly
10
Q

Qu’est ce que la propriété du caractère local de la limite ?

A
How well did you know this?
1
Not at all
2
3
4
5
Perfectly
11
Q

Démontrer.

A
How well did you know this?
1
Not at all
2
3
4
5
Perfectly
12
Q

Définir la continuité de f en un point.

A
How well did you know this?
1
Not at all
2
3
4
5
Perfectly
13
Q

Énoncer la caractérisation séquentielle de la continuité.

A
How well did you know this?
1
Not at all
2
3
4
5
Perfectly
14
Q

Définir un prolongement de f par continuité en a.

A
How well did you know this?
1
Not at all
2
3
4
5
Perfectly
15
Q

Que peut-on dire sur l’unicité du prolongement ? Pourquoi ?

A

L’unicité de la limite entraîne que l’application f(tilde) de la définition précédente est l’unique prolongement de f à AU{a} qui soit continu en a.

How well did you know this?
1
Not at all
2
3
4
5
Perfectly
16
Q

Quelle est la propriété de stabilité de la limite par combinaison linéaire ?

A
How well did you know this?
1
Not at all
2
3
4
5
Perfectly
17
Q

Démontrer.

A
How well did you know this?
1
Not at all
2
3
4
5
Perfectly
18
Q

Quelle est la propriété de stabilité de la limite par produit par une fonction à valeurs scalaires ?

A
How well did you know this?
1
Not at all
2
3
4
5
Perfectly
19
Q

Démontrer.

A
How well did you know this?
1
Not at all
2
3
4
5
Perfectly
20
Q

Quelle est la propriété de stabilité de la limite par l’inverse ?

A
How well did you know this?
1
Not at all
2
3
4
5
Perfectly
21
Q

Démontrer.

A
How well did you know this?
1
Not at all
2
3
4
5
Perfectly
22
Q

Quelle est la propriété de stabilité de la limite par quotient ?

A
How well did you know this?
1
Not at all
2
3
4
5
Perfectly
23
Q

Quelle est la propriété de stabilité de la limite par composée ?

A
How well did you know this?
1
Not at all
2
3
4
5
Perfectly
24
Q

Démontrer.

A
How well did you know this?
1
Not at all
2
3
4
5
Perfectly
25
Faire un bilan sur les propriétés concernant les limites en un point et les opérations dessus.
26
Définir une application continue.
27
Soit E et F deux IK-espaces vectoriels normés et u : E → F une application linéaire Montrer que u est continue si, et seulement si, elle est continue en 0.
28
Que peut-on dire de la restriction d’une application continue.
28
Démontrer.
29
Définir une application k-lipschitzienne.
30
Quelles opérations et propriétés a-t-on sur les fonctions lipschitziennes ?
31
Comment peut-on lier application lipschitzienne et continuité ?
Toute application lipschitzienne est continue.
32
Démontrer que toute application lipschitzienne est continue.
33
Quelles sont les opérations possibles sur les fonctions continues ?
34
Que peut-on dire de la continuité de 1/f ? Quelle est la conséquence de ça ?
35
Comment peut-on lier images réciproques et ouverts/fermés ?
35
Démontrer.
36
Montrer que le demi-plan {(x,y)€R^2 : x>0} est un ouvert de R^2.
37
Quelle est une manière efficace d'obtenir qu'une boule ouverte est ouverte et qu'une boule fermée est fermée ?
38
Montrer que GLn(K) est un ouvert de Mn(K).
39
Montrer que si f : R —> R est une application continue, alors le graphe de f est un fermé de R^2.
40
Définir des applications dites composantes.
41
Quelle est la propriété sur les applications composantes ?
42
Démontrer.
43
Énoncer le théorème des bornes atteintes.
44
Soit E de dimension finie, A partie non vide fermée et bornée de E, et f : A —> F application continue. Que peut-on dire de l’application ||f(x)|| ?
Elle est bornée et atteint ses bornes.
45
46
Que peut-on dire de la continuité des applications linéaires ?
47
Démontrer.
48
Que peut-on dire de la continuité de cette application ?
49
Démontrer que si E est de dimension finie, alors tout sous-espace vectoriel de E est fermé.
50
Montrer à l’aide d’un exemple que l’hypothèse « E de dimension finie » est indispensable.
51
Définir une application polynomiale dans un evn.
52
Démontrer que toute application polynomiale est continue.
53
Montrer à l’aide d’un exemple que l’hypothèse « E de dimension finie » est indispensable.
54
Définir une application multilinéaire.
55
Démontrer.
56
Démontrer que cette application est continue.
57
58
Le déterminant est-il continue ? Le démontrer.
59
Montrer que l’application à qui une matrice associe son polynome caractéristique est continue.
60
Rappeler la définition de l’image réciproque d’un ensemble par une fonction.
f^-1(B)={x€E | f(x)€B}