As the space difference schemes are used to
march forward in space
As the space difference schemes are used to march forward in space, in NWP, to march forward in time, one needs to
use a time differencing scheme.
Unlike space differencing schemes, time differencing schemes seem to
meet the accuracy requirements at the first and second order.
Higher order schemes appear
cumbersome and are not of wide use in NWP.
The forward and centered time difference formulae are expressed as:

There exist two basic types of temporal differencing schemes:
explicit and implicit schemes.
With explicit schemes,
a model prognostic equation is approximated using finite differences in such a way that variables at the future time appear only on one side of an equation.
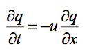
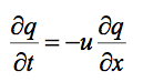
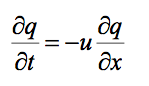
With explicit schemes, a model prognostic equation is approximated using finite differences in such a way that variables at the future time appear only on one side of an equation. For example, consider the following 1‐D wave equation:

the above is

eapfrog time differencing, in which the variable u at the future time appears only on one side (LHS) of the equation, is an example of explicit scheme.
How the leapfrog time differencing scheme works in practice?

implicit methods
variables at the future time appear on both sides of the equation and require the use of iterative methods to solve
implicit methods, variables at the future time appear on both sides of the equation and require the use of iterative methods to solve.
Consider again the
simple 1‐D advection equation for u and apply a backward finite difference in time and centered finite difference in space to obtain:

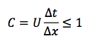
For the time differencing schemes to produce numerically‐stable solutions, there exists
a limiting value of what is known as the Courant number:

The Courant number is
non‐dimensional, where U is the translation speed of the fastest feature or wave on the model grid, Δx is the horizontal grid spacing, and Δt is the time step.
CFL condition
The limiting value of the Courant number is known as the CFL condition, representing the maximum value of the Courant number that permits numerically‐stable model solutions.
The exact value of the CFL condition varies depending upon
the spatial and temporal finite different scheme utilized
he exact value of the CFL condition varies depending upon the spatial and temporal finite different scheme utilized; however, a general guideline is that:

Choosing fine grid spacing results in
small time steps between intermediate forecasts leading to an increase in the no. of time steps and computing time.
What should be the time step for the following grid spacing when the speed of
the fastest wave in the model is 18 m/s?

What should be the time step for the following grid spacing when the speed of
the fastest wave in the model is 18 m/s?
Thus, according to CFL condition,

ine‐mesh (smaller grid size) model forecasts require more number of intermediate time steps and thus need powerful computers.
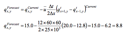
equation gives the time changes in moisture at any grid point (x,y) due to moisture advection in x‐direction.


Consider the 1D moisture advection equation as shown
The above equation gives the time changes in moisture at any grid point (x,y)
due to moisture advection in x‐direction.
how to obtain the forecasting variable


For a grid space of ∆x=25 km, substitute the given values of q at a time t and obtain its forecast value after 1 hour. Consider the speed of the fastest wave in the model grid as 12 m/s.

