In Barotropic model atmosphere, some of the following conditions exist throughout the motion:
Barotropic models are usually divided into two classes:
The simple nondivergent barotropic model is based on
the barotropic vorticity equation.
The Barotropic (Nondivergent ) Model
The barotropic vorticity equation describes
the evolution of a homogeneous (constant density), non‐divergent, incompressible flow, in which the absolute vorticity is conserved following the motion:

The barotropic model is obtained from
the barotropic vorticity equation
the barotropic vorticity equation

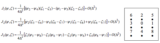
the jacobian can be defined in three equivalent ways

It turns out that none of the above finite difference analogs for the Jacobian conserves

both kinetic energy and mean square vorticity over the model domain.
They are, therefore, not suitable for use in the model
t turns out that none of the above finite difference analogs for the Jacobian conserves both kinetic energy and mean square vorticity over the model domain.
They are, therefore, not suitable for use in the model
However, Arakawa has shown that
the linear combination as shown below conserves them.

Let us write expressions for J1, J2 and J3 using a 9‐point stencil as shown in Fig.

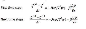
Time Derivatives

Implementation of the Model

Assumptions and Simplification