Chapter 11 (basic organic concepts) Flashcards

(16 cards)

1
Q

What are hydrocarbons ?

A

Hydrocarbons are compounds that only containing carbon and hydrogen

How well did you know this?
1
Not at all
2
3
4
5
Perfectly
2
Q

What are cycloalkanes ?

A
  • Cycloalkanes are alkanes where the 2 ends are joined to make a ring, e.g cyclohexane
  • general formula: CnH2n
How well did you know this?
1
Not at all
2
3
4
5
Perfectly
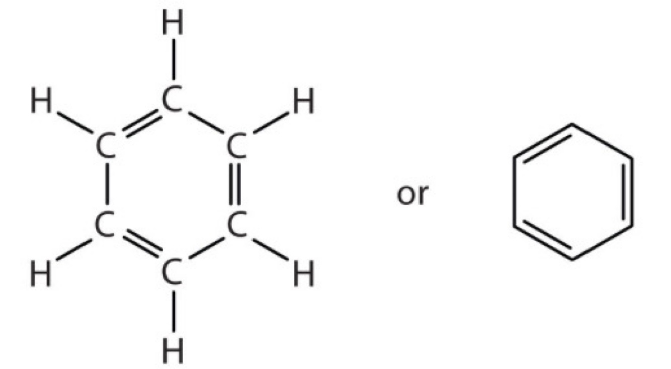
3
Q

What are aromatic hydrocarbons (Arenes)

A
  • Arenes contain 1 or more benzene rings in which 6 carbon atoms are joined in a ring
  • each carbon atom is only lined to 3 other atoms, so each carbon has one outer shell electron left over
  • these electrons are shared between all 6 carbons to make a pool of charge
How well did you know this?
1
Not at all
2
3
4
5
Perfectly
4
Q

What are Aliphatic and alicyclic hydrocarbons ?

A

Aliphatic hydrocarbons - carbon atoms joined together in unbranched(straight) or branched chains
alicyclic hydrocarbon - containing carbon atoms joined together in a ring that is not aromatic

How well did you know this?
1
Not at all
2
3
4
5
Perfectly
5
Q

What are saturated and unsaturated hydrocarbons ?

A
  • a saturated hydrocarbon has single carbon bonds only. No further atoms can be added to the molecule, without removing on of the atoms already there
  • a unsaturated hydrocarbon contains carbon-to-carbon multiple bonds, mole atoms can be added to the molecule

E.g alkenes are unsaturated and and alkanes are saturated

How well did you know this?
1
Not at all
2
3
4
5
Perfectly
6
Q

What is the definition of a functional group ?

A

a functional group is a group of atoms responsible for the characteristic reactions of a compound

How well did you know this?
1
Not at all
2
3
4
5
Perfectly
7
Q

What is a homologous series ?

A

A homologous series is a series of organic compounds having the same functional group but with each successive member differing by CH2

  • similar chemical properties
How well did you know this?
1
Not at all
2
3
4
5
Perfectly
8
Q

What are the IUPAC rules ?

A

1) find and name the longest continuous carbon chain e.g prop
2) identify and name groups attached to this chain
3) number the chain consecutively, starting at the end nearest substituent group
4) designate the location of each substituent group by an appropriate number and name
5) assemble the name, listing groups in alphabetical order

  • use commas between numbers, use dashes between and numbers and letters
How well did you know this?
1
Not at all
2
3
4
5
Perfectly
9
Q

Worked example of naming a molecule ?

A
How well did you know this?
1
Not at all
2
3
4
5
Perfectly
10
Q

What are stuctural isomers ?

A
  • SAME molecular formula but different structural formula, e.g cyclohexane and hex-2-ene
How well did you know this?
1
Not at all
2
3
4
5
Perfectly
11
Q

What are positional isomers ?

A

compounds containing the same functional group, that can be positioned at different positions along the carbon chain e.g butan-1-ol and butan-2-ol

How well did you know this?
1
Not at all
2
3
4
5
Perfectly
12
Q

What is a branch ?

A

A molecule or polymer with a nonlinear backbone, branches sprout from 1 or more atoms of the main skeleton

How well did you know this?
1
Not at all
2
3
4
5
Perfectly
13
Q

What is a reaction mechanism ? (Curly arrows)

A
  • basic chemical equations does not tell us how the reaction takes place
  • curly double headed arrows are used to represent the movement of a pair of electrons when bonds are being made or broken
How well did you know this?
1
Not at all
2
3
4
5
Perfectly
14
Q

What is bond fission - homolytic

A
  • Covalent bonds can be broken through homolytic or heterocyclic fission
  • homolytic fission - each of the bonded atom takes 1 of the shared pair of electrons from the bond
  • each atom now has a single unpaired electrons
  • an atom/ group of atoms with a single unpaired electrons = radical (place a dot next to the atom)
  • e.g
How well did you know this?
1
Not at all
2
3
4
5
Perfectly
15
Q

What are all the functional groups and their Nomenclature ?

A
How well did you know this?
1
Not at all
2
3
4
5
Perfectly
16
Q

What are all the formulae of Organic compounds ?