Chapter 24 Transition elements Flashcards

(34 cards)

1
Q

What sub-shell is at the highest energy level for transition metals ?

A
  • The d-block elements are found between groups 2 and 13 and have a 3D sub-shell as the highest energy level
How well did you know this?
1
Not at all
2
3
4
5
Perfectly
2
Q

What is the rule when forming d-block ions/atoms ?

A
  • when forming an ion, lose their 4s electrons before losing any 3d electrons
  • when forming an atom 4s fill before 3d
How well did you know this?
1
Not at all
2
3
4
5
Perfectly
3
Q

What are the physical properties of transition elements ?

A
  • High melting points
  • shiny
  • Conduct electricity and heat
How well did you know this?
1
Not at all
2
3
4
5
Perfectly
4
Q

What are some exceptions with D-block atoms ?

A
  • For Cr and Cu a 4s electrons is promoted to half-fill or fully fill the 3d Sub-shell
  • this is because it is more energetically favourable
How well did you know this?
1
Not at all
2
3
4
5
Perfectly
5
Q

What are exceptions of D-block ions ?

defintion of transition element asw

A
  • although in the d-block, Scandium and Zinc do not fall into the definition of a transition element - since neither forms an ion with a partially filled d-orbital
  • Scandium only forms +3 ion and zinc only forms a +2 ion
How well did you know this?
1
Not at all
2
3
4
5
Perfectly
6
Q

What is the pattern of variable oxidation states for transition elements ?

A
  • the number of oxidation states increases across the transition elements series to manganese then decreases
How well did you know this?
1
Not at all
2
3
4
5
Perfectly
7
Q

What are some common transition element heterogenous catalyst ?

A
  • Hager process - Iron catalyst
  • Contact process - Vanadium (V) oxide
  • Hydrogenation - nickel catalyst
  • Decomposition of hydrogen peroxide - Manganese (IV) oxide catalyst
How well did you know this?
1
Not at all
2
3
4
5
Perfectly
8
Q

What is a complex ion ?

A
  • Complex ions form when a metal ion is centrally bonded to one or more molecules or negative ions, known as ligands
  • Ligands donate a pair of electrons to form a dative bond with the central metal ion
  • a coordinate number indicates the number of dative bonds made
How well did you know this?
1
Not at all
2
3
4
5
Perfectly
9
Q

How do you represent complex ions ?

A
  • Cr3+ is the central metal ion - water acts as a ligand with each molecule donating a lone pair of electrons from the oxygen to the central metal atom to form a coordinate bond
  • coordinate number indicates = 6
How well did you know this?
1
Not at all
2
3
4
5
Perfectly
10
Q

What are the different types of ligands ?

A
  • some ligand have no charge and some do
    2 types of ligands:
    1. Monodentate - donate 1 pair of electrons to central metal ion. E.g Water, ammonia, chloride, cyanide
    2. Bidentate - donate 2 pairs of electrons to central metal ion (2 coordinate bonds)
How well did you know this?
1
Not at all
2
3
4
5
Perfectly
11
Q

What are the shapes of complex ions ?

A
  • most common coordinate numbers are 6 and 4
  • 6-coordinate complexes have octahedral shapes and 90 degree bond angle
  • 4-coordinate complexes can have:
    1. tetrahedral shapes 109.5 degree bond angle
    2. Square-planar 90 degree bond angle
How well did you know this?
1
Not at all
2
3
4
5
Perfectly
12
Q

What is a complex ion example ?

A
How well did you know this?
1
Not at all
2
3
4
5
Perfectly
13
Q

What does the colour of complex ions depends on ?

A
  • it depends on the colour of the central atom
How well did you know this?
1
Not at all
2
3
4
5
Perfectly
14
Q

When do complex ions form Cis-Trans isomerism ?

A

They can display Cis-Trans isomerism if it contains 2 different monodentate ligands

How well did you know this?
1
Not at all
2
3
4
5
Perfectly
15
Q

Square planar isomerism example

A
How well did you know this?
1
Not at all
2
3
4
5
Perfectly
16
Q

Octahedral monodentate isomerism example

A

Needs 2 different monodentate ligands with 2 of one ligand and 4 of another ligand

17
Q

Octahedral bidentate isomerism example ?

A

contain 2 bidentate ligands and 2 monodentate ligands

18
Q

What happens when there is cis isomers in octahedral complexes ?

A
  • Complexes containing monodentate bidentate ligands will display optical isomers (enantiomers)
  • only in octahedral complexes
  • also occurs in complexes with only bidentate ligands
19
Q

What is Cis-platin ?

A
  • Cis platin was found to bind to DNA and stop cell replication in bacteria
  • whereas Trans-platin had no effect as the chlorines can’t bind
  • same happens with cancerous cells, making it an effective anti-cancer drugs, however it can attack other cells and cause side effects
20
Q

what is a ligand substitiution reaction ?

A
  • occurs when ligand in a complex ion is replaced with another ligand
21
Q

how does the Cu2+ ion work with ammonia ?

A
  • with the addition of ammonia 4 water ligands are substituted for 4 ammonia ligands
    1. the formation of pale blue precipitate Cu(OH)2
    2. the precipitate dissolves in excess ammonia to form a **dark blue solution of [Cu(NH3)4(H2O)2]2+ **
22
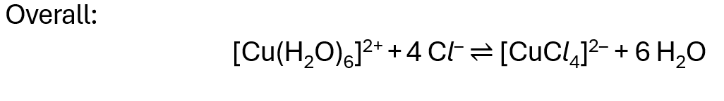
Q

how does the Cu2+ ion work with cloride ?

A
  • with the addition of chloride ions (from concentrated HCl) all water ligands are substituted for 4 chloride ligands
  • chloride ions are larger than H2O so less fit around the Cu2+
  • Yellow tetrahedral [CuCl4]2- complex ion forms
  • an intermediate solution can form and is green due to equal ammount of complex ions (yellow + blue)
23
Q

how does the Cr3+ ion work with cloride ?

A
  • [Cr(H2O)6]3+ is pale purple
  • when chormium (III) sulfate dissolves in water a green solution is formed
  • with the addition of ammonia all water ligands are substituted for ammonia ligands in 2 steps
    1. a grey-green precipitate of Cr(OH)3 forms
    2. excess ammonia dissolves precipitate to form dark purple complex ion [Cr(NH3)6]3+
24
Q

what are the practical observations of colour for the reactions ?

25
how does **Haemoglobin work**
* Haemoglobin contains 4 protein chains help together by weak intermolecular forces * each chais contains a **Haem group, with a central Fe2+ ion, which can bind to O2** * oxygen molecules carried by Oxyhaemoglobin can be removed again by substituting water back * however CO can bind to Fe2+ to form, **carboxyhaemoglobin - this bond is much stronger than O2 and so can't be removed** * this is why CO is toxic and can reduce O2 blood levels
26
what are the **insoluable precipitation reactions with NaOH** ?
27
what are the **insoluable precipitation reactions with NaOH** ?
28
**transition metal ion reaction summary** | with excess NaOH and NH3
29
how does **the oxidation of Fe2+ to Fe3+ work** ?
* MnO4- oxidises Fe2+ as E is **smaller for iron (+1.33V and +0.77V respectively), making iron less likely to gain electrons, so shifting the equilibrium position left** * MnO4- is reduced and Fe2+ is oxidised
30
how does **the reduction of Fe2+ to Fe3+ work** ?
* I- reduces Fe3+ as **E is larger for iron (+0.54V and +0.77V respectivley) making iron more likely to gain electrons shifting equilibrium to the right**
31
what are the **chromium reduction reactions** ?
32
what are the **chromium oxidation reactions** ?
33
what is the **copper reduction reaction** ?
34
example of **disproportionation of Cu+ ions** ?