Chapter 11 - Waves 1 Flashcards

(32 cards)

1
Q

Define a progressive wave.

A
How well did you know this?
1
Not at all
2
3
4
5
Perfectly
2
Q

Define a transverse wave.

A
How well did you know this?
1
Not at all
2
3
4
5
Perfectly
3
Q

Define a longitudinal wave.

A
How well did you know this?
1
Not at all
2
3
4
5
Perfectly
4
Q

What features do transverse waves have?

A
How well did you know this?
1
Not at all
2
3
4
5
Perfectly
5
Q

What features do longitudinal waves have?

A
How well did you know this?
1
Not at all
2
3
4
5
Perfectly
6
Q

Define displacement.

A
How well did you know this?
1
Not at all
2
3
4
5
Perfectly
7
Q

Define amplitude.

A
How well did you know this?
1
Not at all
2
3
4
5
Perfectly
8
Q

Define wavelength.

A
How well did you know this?
1
Not at all
2
3
4
5
Perfectly
9
Q

Define period (of oscillation).

A
How well did you know this?
1
Not at all
2
3
4
5
Perfectly
10
Q

Define frequency.

A
How well did you know this?
1
Not at all
2
3
4
5
Perfectly
11
Q

Define wavespeed.

A
How well did you know this?
1
Not at all
2
3
4
5
Perfectly
12
Q

Describe and label a transverse wave graph.

A
How well did you know this?
1
Not at all
2
3
4
5
Perfectly
13
Q

Describe and label a longitudinal/compressive wave graph.

A
How well did you know this?
1
Not at all
2
3
4
5
Perfectly
14
Q

Define the wave equation (wave speed).

A
How well did you know this?
1
Not at all
2
3
4
5
Perfectly
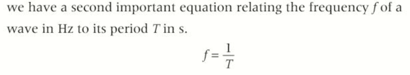
15
Q

Define frequency, in terms of a time period of a wave.

A
How well did you know this?
1
Not at all
2
3
4
5
Perfectly
16
Q

Define phase difference.

17
Q

How can you tell if two particles are in phase?

18
Q

How can you tell if two particles are in antiphase?

19
Q

Under what conditions does reflection occur?

20
Q

What is the law of reflection?

A

The law of reflection applies whenever waves are reflected. It states that the angle of incidence is equal to the angle of reflection.

21
Q

Under what conditions does refraction occur?

22
Q

Define diffraction.

23
Q

Define Polarisation.

24
Q

Define intensity of light, and give the general formula of light intensity.

25
Give the formula of intensity of light in terms of a point sphere.
26
What is the relationship between intensity and amplitude?
27
State the sizes of each EM wave.
28
What is the equation for the speed of light.
The speed of light = frequency of the EM wave x wavelength.
29
Define the equation for refractive index.
30
State Snell's Law.
31
What are the two conditions for Total Internal Reflection.
32
What is the formula for the critical angle?
C is the Critical Angle, and n is the refractive index of the material.