Chapter 12 - Waves 2 Flashcards

(15 cards)

1
Q

Define the principle of superposition of waves.

A
How well did you know this?
1
Not at all
2
3
4
5
Perfectly
2
Q

Describe constructive and destructive interference.

A
How well did you know this?
1
Not at all
2
3
4
5
Perfectly
3
Q

Define interference.

A
How well did you know this?
1
Not at all
2
3
4
5
Perfectly
4
Q

Define coherence.

A
How well did you know this?
1
Not at all
2
3
4
5
Perfectly
5
Q

Define maxima and minima.

A
How well did you know this?
1
Not at all
2
3
4
5
Perfectly
6
Q

Define path difference.

A
How well did you know this?
1
Not at all
2
3
4
5
Perfectly
7
Q

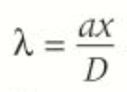
What is the young double-slit experiment equation?

A

Where λ is the wavelength of the light, a is the separation between the slits, x is the separation of the fringes and D is the distances from the slits and the screen.

How well did you know this?
1
Not at all
2
3
4
5
Perfectly
8
Q

Define a stationary wave.

A
How well did you know this?
1
Not at all
2
3
4
5
Perfectly
9
Q

Describe where the nodes and antinodes are for a stationary wave.

A
How well did you know this?
1
Not at all
2
3
4
5
Perfectly
10
Q

What are the differences in energy transfer and wavelength between progressive and stationary waves.

A
How well did you know this?
1
Not at all
2
3
4
5
Perfectly
11
Q

What are the differences in phase differences and amplitude between progressive and stationary waves.

A
How well did you know this?
1
Not at all
2
3
4
5
Perfectly
12
Q

Define the fundamental frequency and harmonics.

A
How well did you know this?
1
Not at all
2
3
4
5
Perfectly
13
Q

Describe each harmonic, in terms of a string and its lengths.

A
How well did you know this?
1
Not at all
2
3
4
5
Perfectly
14
Q

Describe each harmonic, in terms of an open pipe at one end.

A
How well did you know this?
1
Not at all
2
3
4
5
Perfectly
15
Q

Describe each harmonic, in terms of an open pipe at both ends.

A
How well did you know this?
1
Not at all
2
3
4
5
Perfectly