Chapter 17 Flashcards

(46 cards)

1
Q

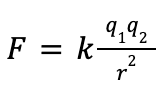
Electric force

A

interaction between 2 charged objects (N)

How well did you know this?
1
Not at all
2
3
4
5
Perfectly
2
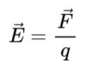
Q

Electric field

A

Force exerted on a tiny + test charge (q) placed at that point DIVIDED by magnitude of test charge

Units: (N/C)

How well did you know this?
1
Not at all
2
3
4
5
Perfectly
3
Q

Equation for E-field

charge (q) creating the field

A

(E-field with respect to location)

How well did you know this?
1
Not at all
2
3
4
5
Perfectly
4
Q

Equation for E-field

charge (q) experiencing field

A

(E-field with respect to location)

How well did you know this?
1
Not at all
2
3
4
5
Perfectly
5
Q

Work

A

force acts on an object and causes a displacement

How well did you know this?
1
Not at all
2
3
4
5
Perfectly
6
Q

Energy

A

conserved substance like quantity (can be stored in multiple modes but its always the same thing)

How well did you know this?
1
Not at all
2
3
4
5
Perfectly
7
Q

Energy storage modes

A

gravitational, kinetic, elastic, electrical

How well did you know this?
1
Not at all
2
3
4
5
Perfectly
8
Q

Equation for WORK

A
How well did you know this?
1
Not at all
2
3
4
5
Perfectly
9
Q

Is work stored in a system?

A

no

How well did you know this?
1
Not at all
2
3
4
5
Perfectly
10
Q

Is energy stored in a system?

A

Yes

How well did you know this?
1
Not at all
2
3
4
5
Perfectly
11
Q

What conditions of force and displacement cause no work?

A

No work is done when: force PERPENDICULAR to displacement

How well did you know this?
1
Not at all
2
3
4
5
Perfectly
12
Q

Electric potential energy

A

amount of energy needed to move a charge against an E-field

Units: J

How well did you know this?
1
Not at all
2
3
4
5
Perfectly
13
Q

Does electric potential energy depend on the path taken when moving from A to B?

A

No, PE is independent of path taken

How well did you know this?
1
Not at all
2
3
4
5
Perfectly
14
Q

Electric potential difference

A

diff in potential energy/unit charge between two locations in an E-field

units: V (J/C)

How well did you know this?
1
Not at all
2
3
4
5
Perfectly
15
Q

What does electric potential difference depend and not depend on?

A

Does not depend on: test charge (q)

Depends on: charges that create the field

How well did you know this?
1
Not at all
2
3
4
5
Perfectly
16
Q

How can electric field be defined in terms of electric potential difference?

A

E-field: the rate that electric potential decreases over distance in that direction

How well did you know this?
1
Not at all
2
3
4
5
Perfectly
17
Q

Equipotential line

A
  • Line along which the electric potential is constant
  • Isolines PERPENDICULAR to E-field at all points
  • Continuous (never end)
How well did you know this?
1
Not at all
2
3
4
5
Perfectly
18
Q

Equipotential surface

A

Surface all at the SAME potential

Example: conductor in static equilib

How well did you know this?
1
Not at all
2
3
4
5
Perfectly
19
Q

Equation for electric potential energy (PE)

20
Q

Equation for electric potential difference (V)

A

V = W/q

V = Ed

21
Q

Equation for kinetic energy (Ek)

22
Q

Equation for gravity force and

A

Fg = m g

g = 10N/kg

23
Q

Equation for Gravitational Potential energy

A

Eg = m g h

g = 10N/kg

24
Q

What plate has a higher potential negative or positive?

A

+ plate has higher potential

25
Where will charged objects naturally move to in an electric field?
+q: move from high → low potential –q: move from low → high potential
25
Where will charged objects naturally move to in an electric field?
+q: move from high → low potential –q: move from low → high potential
26
Capacitance
ratio of the electric charge on each conductor (Q) to the potential difference (V) between them
27
A higher capicatance (C) means that a conductor can hold more or less charge at 1V?
higher C = can hold many Coulombs of charge at 1V
28
Equation for CAPACITANCE
q = CV
29
Equation: amount of energy stored in a capacitor
Ecap = (½)CV2
30
What is a CAPACITOR?
device use to store electric charge & consists of 2 conducting objects (plates/sheets)
31
Equation: CAPACITANCE for a parallel plate capacitor
A = area of either plate ε0 = 8.85 x 10-12 (C2/Nm2)
32
What does 1 Fardad (F) =
1 F = 1C/V
33
Equation: electric potential (V) of a single point charge
34
The potential around + charges is always +/–? What about around – charges?
Potential around + charges = + potential around – charges = –
35
How can you add voltages?
Voltages add arithmetically (superpositon) VA = VAB + VAC
36
Can voltages be negative?
Yes! Because we choose an arbitrary 0
37
What is the coulomb's constant: k =
k = 9 x 109 (Nm2/C2)
38
Charge of one electron/proton
1.6 x 10-19 (C)
39
Mass of 1 proton
k = 1.67 x 10-27 kg
40
Mass of 1 electron
9.11 x 10-31 kg
41
_Unit conversions_ 1 N =
42
_Unit conversions_ 1 J =
43
_Unit conversions_ 1 V =
44
_Unit conversions_ How to go from N/C to V/m?
45
1 electron volt (eV) =
1 eV = 1.6 x 10-19 J