Waves Review Flashcards

(17 cards)

1
Q

Waves

A

disturbance in a medium that results in vibration/oscillation

How well did you know this?
1
Not at all
2
3
4
5
Perfectly
2
Q

Wave speed (v)

A

speed at which wave crests move forward

Depends on properties of the medium (tension, density, mass, etc.)

How well did you know this?
1
Not at all
2
3
4
5
Perfectly
3
Q

Relationship between period (T) & frequency (f)

A

f = 1/T

How well did you know this?
1
Not at all
2
3
4
5
Perfectly
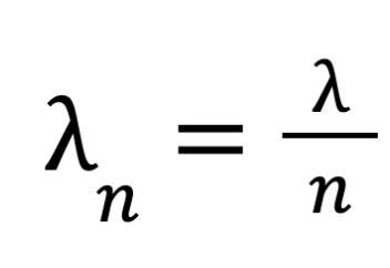
4
Q

Relationship between wavelength (λ) & frequency (f)

A
How well did you know this?
1
Not at all
2
3
4
5
Perfectly
5
Q

Relationship between speed of light (v) & index of refraction (n)

A

c = 3.00 x 108 m/s (constant = speed of light in a vacum)

How well did you know this?
1
Not at all
2
3
4
5
Perfectly
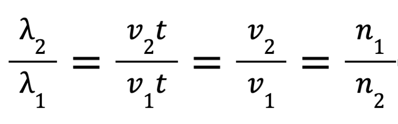
6
Q

Equation for how wavelength changes between media

A
How well did you know this?
1
Not at all
2
3
4
5
Perfectly
7
Q

wavelength inversely proportional to ___ but directly proportional to ___

A

wavelength inversely proportional to index of refraction but directly proportional to speed

How well did you know this?
1
Not at all
2
3
4
5
Perfectly
8
Q

Does wavelength or frequency effect the speed that electromagnetic radiation travels?

A

NO

All electromagnetic radiation travel at the speed of light (regardless of wavelength or frequency)

How well did you know this?
1
Not at all
2
3
4
5
Perfectly
9
Q

Transverse wave

A

particles vibrate in a perpendicular direction relative to the motion of the wave

How well did you know this?
1
Not at all
2
3
4
5
Perfectly
10
Q

Longitudinal wave

A

particles vibrate in along the same direction as the motion of the wave

How well did you know this?
1
Not at all
2
3
4
5
Perfectly
11
Q

Which type of wave can propagate through a fluid?

A

Only longitudinal waves

How well did you know this?
1
Not at all
2
3
4
5
Perfectly
12
Q

Beats

lower frequency (f) =

A

lower frequency (f) = lower tone, flatter

How well did you know this?
1
Not at all
2
3
4
5
Perfectly
13
Q

Beats

higher frequency (f) =

A

higher tone, sharper

How well did you know this?
1
Not at all
2
3
4
5
Perfectly
14
Q

Beats

When mass of tuning fork increased, what happened to the frequency?

A

frequency decreased because inertia increased

How well did you know this?
1
Not at all
2
3
4
5
Perfectly
15
Q

Beats

When frequencies of tuning forks are CLOSE vs. FAR how is the sound?

A

close → gradual loud to soft sounds

far apart → rapid change from in sync to opposite

How well did you know this?
1
Not at all
2
3
4
5
Perfectly
16
Q

Sound

A

longitudinal pressure wave in air (or in a medium that is able to vibrate)

17
Q

Huygen’s Principle

A

every point on a wave front can be considered a new wave source that spreads out in the forward direction at the speed of the wave itself. The new wavefront is the envelope of all wavelets–tangent to all of them.