Symmetries

Types of Symmetries and
Corresponding Conserved Quantity
Translational Symmetry

Rotational Symmetry

Generator of Translation
momentum operator

Translation Commutation

Generator of Rotation
angular momentum operator

Rotation (and Angular Momentum) Commutators

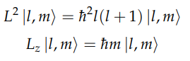
Angular Momentum
(Eigenstates and Eigenvalues)
NOTE: l is integer or half-integer

Angular Momentum
(Lowering and Raising Operators)

Spin
(Motivation)
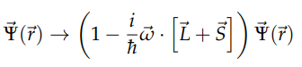
Generator of Infinitesimal Rotation of Vector Wavefunction

Spin
(Eigenstates and Eigenvalues)

Hydrogen Atom
(Hilbert Space)

Hydrogen Atom
(Natural Basis)

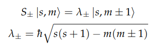
Spin
(Lowering and Rasiing Operators)

Addition of Angular Momentum Generalization
(Overview)

Addition of Angular Momentum Generalization
(Allowable j values)

Addition of Angular Momentum Generalization
(General Basis Transformation)
