Second Quantization
(Overview)

Fock States and Spaces

Second Quantization
(Take-Away)
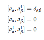
Second Quantization
(Bosons: Overview)

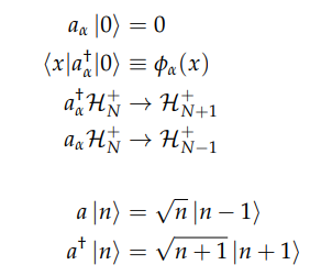
Second Quantizaion
(Bosons: Action of a,a†)

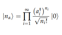
Second Quantization
(Bosons: General State)
State α occupied by N particles

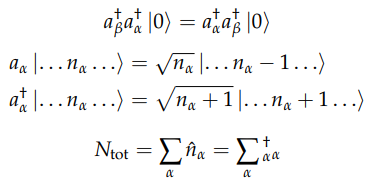
Second Quantization
(Bosons: Notes)

Second Quantization
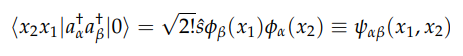
(Bosons: Connection to Wavefunction)

Second Quantization
(Fermions: Overview)
NOTE: Similar to bosons with + → − and a few exceptions

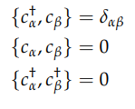
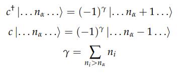
Second Quantization
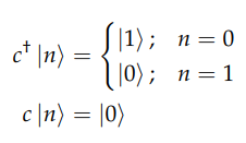
(Fermions: Actions of c, c†)

Second Quantization
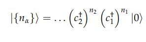
(Fermions: General State)

Second Quantization
(Fermions: Notes)
Ordering is important

Second Quantization
(Single-Particle Operator)
Let Ai be single-particle operator

Second Quantization
(Two-Particle Operator)
Let Aij be a two-particle operator

Second Quantization
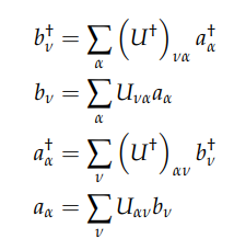
(Basis Transformation)

Field Operator
(Overview)

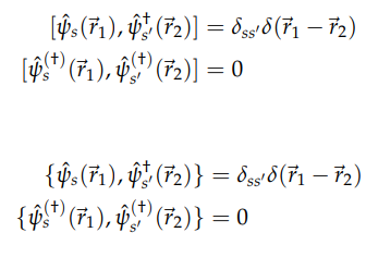
Field Operator
(Commutation Relations)
(Anti-)Commutators follow as that for (fermions) bosons

Field Operator
(General State)

Field Operator
(Take-Away)
Field Operator
(Single-Particle Operator)
Let A1 be single-particle operator

Field Operator
(Two-Particle Operator)
Let A2 be two particle operator

Field Operator
(Hamiltonian)

Correlations in Non-Interacting Fermi Gas
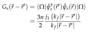
(Green’s Function)
NOTE: j1 is Bessel function

Correlations in Non-Interacting Fermi Gas
(Green’s Function: Graph)
