What is the ending name for carbohydrates?
-ose
What is the formula for carbohydrates?
(CH2O)x
What are the 5 types of carbohydrates?
(CH2O)3 - Triose (CH2O)4 - Tetrose (CH2O)5 - Pentose (CH2O)6 - Hexose (CH20)7 - Heptose
Draw an Aldehyde

Draw a Ketone

Draw a carboxylic acid

How can you identify a carbohydrate?
What type of structure does a monosaccahride prefer, in physiological pH?
the cyclized version
What is this structure?

Carbohydrate (Monosacharide, fructose, hexose)
What verison is the most energitcally stable form, for monosacchrides?
The cyclic verison
What is this structure?

Glucose (Monosachraide/hexose)
What is this structure?

Galactose (monosacharride/Hexose)
What is this structure?

Ribose (monosacharride/pentose)
What is this structure?

Lactose (Disaccharide) (Galactose and Glucose)
What is this structure?

Trehalose (Disaccharide) (Glucose/Glucose)
What is this structure?

Maltose (Disaccharide) (Glucose and Glucose)
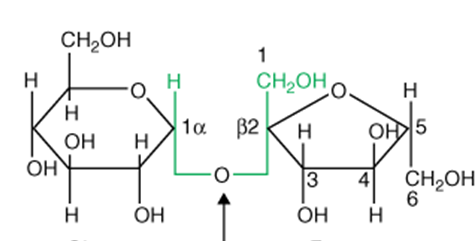
What is this structure?

Sucrose (Disaccharide) (Glucose and Fructose)
Does this signify alpha or beta?

Alpha (easier to break)
Does this signify Alpha or Beta?

Beta (harder to break than alpha)