What is the carbohydrate storage in the humans?
Glycogen
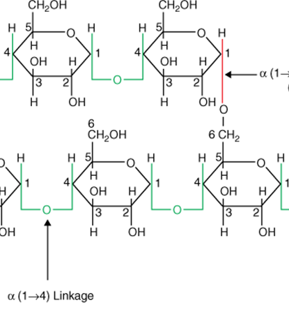
In glycogen, how do the glucose molecules bond?
linearly between carbon 1 and carbon 4 and as branches between crabons 1 and 6.

In cellulose, how do the glucose molecules bond?
Straigh versus helical

What causes lactose intolerance?
Lactase deficiency in the duodenum
What gene is turned off for lactate intolerant people?
The LCT gene because off MCM6
What is it called when a carbohydrate bonds with protein?
Glycoprotein
For glycoproteins, how may carbohydrates form bonds with proteins?
OH group to serine, threonine, or the NH of asparagine
approximately how many proteins in the human body are estimated to be glycoproteins?
Half
How do oligosaccharides on proteins become significant?
By playing a diverse role in binding, signaling, and regulation.
What glycoproteins are immense with complex mixtures of proteins, amino acids, and sugars (mono, di, and trisaccharides) linked togther in linear and branced formations called?
Oligosaccharides
What contains repeating disaccharide chains of a modified glucose and/or galactose and composes a large portion of the extracellular matrix?
Glycosaminoglycans (GAGs)
When the additional acetyl (NHCOCH3) or negatively chaged sulfate (NHSO3-) is added to GAG’s what does it form?
Glucosamine and galactosamine
____ _____ sulfate (SO3-) and or carboxylate (COO-) groups are linked to at least one of the sugars of the repeating chain in GAGs
Negatively charged
What are the 3 common GAGs?
Which GAG is highly sulfated and its negative charge facititates repulsion?
Heparin
Which GAG is the longest of the GAGs?
Hyaluronic acid
Which GAG is used as a potent inhibitor of blood clot formations and used in patients with heart attacks, strokes, and clotting dieseases?
Heparin
What is it called when chondroitin and Hyaluronic acid (both GAGs) bond with a central linear cor protein?
Proteoglycans
What is the signifigance of proteoglycans?
They are important as strong structural elements in connective tissue and cartilidge
How are proteoglycans composed of?
Mainly polysaccharides with a small percentage of protein