Chapter 21: Numerical Methods Flashcards

Numerical and Euler's Method. This will take a lot of recursion. (5 cards)

1
Q

Define the mid-ordinate rule.

A
How well did you know this?
1
Not at all
2
3
4
5
Perfectly
2
Q

Define Simpson’s Rule.

A
How well did you know this?
1
Not at all
2
3
4
5
Perfectly
3
Q

Define the simple Euler’s Method.

A
How well did you know this?
1
Not at all
2
3
4
5
Perfectly
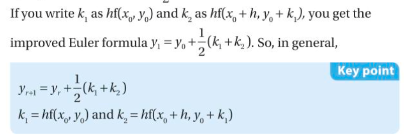
4
Q

Define the improved Euler formula

A
How well did you know this?
1
Not at all
2
3
4
5
Perfectly
5
Q

Define the alternative Improved Euler’s Formula.

A
How well did you know this?
1
Not at all
2
3
4
5
Perfectly