Chapter 23: Vector 2 Flashcards

The vector product, equation of a plane, and finding more distances... Is it a bird, is it a plane? Yes it is. (16 cards)

1
Q

What is the definition of the vector product/cross product?

A
How well did you know this?
1
Not at all
2
3
4
5
Perfectly
2
Q

What are the anti-commutative and distributive properties of vectors?

A
How well did you know this?
1
Not at all
2
3
4
5
Perfectly
3
Q

How do you determine if two vectors, a and b, are parallel?

A
How well did you know this?
1
Not at all
2
3
4
5
Perfectly
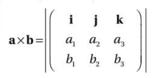
4
Q

How do you calculate the cross product of two 3-dimensional vectors, a and b?

A
How well did you know this?
1
Not at all
2
3
4
5
Perfectly
5
Q

How do you calculate the area of a triangle?

A
How well did you know this?
1
Not at all
2
3
4
5
Perfectly
6
Q

State the vector equation of a line, using a position vector, a, and parallel vector, b.

A
How well did you know this?
1
Not at all
2
3
4
5
Perfectly
7
Q

State the cartesian equation of a line.

A
How well did you know this?
1
Not at all
2
3
4
5
Perfectly
8
Q

State the vector product form.

A

For r x b = c, b is the parallel vector, c is a x b.

How well did you know this?
1
Not at all
2
3
4
5
Perfectly
9
Q

State the vector equation of a plane.

A
How well did you know this?
1
Not at all
2
3
4
5
Perfectly
10
Q

State the scalar product equation for a plane.

A
How well did you know this?
1
Not at all
2
3
4
5
Perfectly
11
Q

What is a perpendicular vector also known as? And how do you calculate it?

A

The normal of a plane is found by cross-product-ing two vectors, to give n. p is found by finding the scalar of the position, point and the normal.

How well did you know this?
1
Not at all
2
3
4
5
Perfectly
12
Q

State the cartesian equation of a plane.

A
How well did you know this?
1
Not at all
2
3
4
5
Perfectly
13
Q

How do you find the acute angle between a plane and a line?

A
How well did you know this?
1
Not at all
2
3
4
5
Perfectly
14
Q

How do you find the acute angle between two planes?

A
How well did you know this?
1
Not at all
2
3
4
5
Perfectly
15
Q

How do you find the distance from a point to a plane?

A
How well did you know this?
1
Not at all
2
3
4
5
Perfectly
16
Q

What are the rules for points and planes regarding the origin?