Chapter 3: Quantitative Demand Analysis Flashcards

(33 cards)

1
Q

Elasticities of Demand

A

Elasticity measures the responsiveness of one variable to changes in another variable.

How well did you know this?
1
Not at all
2
3
4
5
Perfectly
2
Q

Sign of the elasticity (+ or - )

A

The sign of the elasticity determines the relationship between X and Y.

If the elasticity is positive, an increase in Y leads to an increase in X.

If the elasticity is negative, an increase in Y leads to a decrease in X.

How well did you know this?
1
Not at all
2
3
4
5
Perfectly
3
Q

Absolute Value of Elasticity

A

Determines how responsive X is to changes in Y.

If the absolute value of the elasticity is greater than 1 (V >1), the numerator is larger than the denominator in the elasticity formula, and we know that a small percentage change in Y will lead to a relatively large percentage change in X.

If the absolute value of the elasticity is less than 1, the numerator is smaller than the denominator in the elasticity formula.

How well did you know this?
1
Not at all
2
3
4
5
Perfectly
4
Q

Own price elasticity
of demand

A

Measures the responsiveness of quantity demanded of a good to a change in price of the good.

How well did you know this?
1
Not at all
2
3
4
5
Perfectly
5
Q

Own Price Elasticity
of Demand Equation

A

The percentage change in quantity demanded divided by the percentage change in the price of the good.

How well did you know this?
1
Not at all
2
3
4
5
Perfectly
6
Q

Own Price of Demand (Absolute Value)

A

By the law of demand, there is an inverse relation between price and quantity demanded; thus, the own price elasticity of demand is a negative number.

The absolute value of the own price elasticity of demand can be greater or less than 1

How well did you know this?
1
Not at all
2
3
4
5
Perfectly
7
Q

Elastic Demand

A

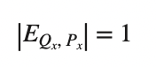
Demand is elastic if the absolute value of the own price elasticity is greater than 1

How well did you know this?
1
Not at all
2
3
4
5
Perfectly
8
Q

Inelastic Demand

A

Demand is inelastic if the absolute value of the own price elasticity is less than 1.

How well did you know this?
1
Not at all
2
3
4
5
Perfectly
9
Q

Unitary Elastic Demand

A

Demand is unitary elastic if the absolute value of the own price elasticity is equal to 1.

When demand is unitary elastic, total revenue is maximized

How well did you know this?
1
Not at all
2
3
4
5
Perfectly
10
Q

Demand Elasticity

A

(Absolute Value > 1): When demand is elastic, the quantity consumed of a good is relatively responsive to a change in the price of the good. A price increase will reduce consumption considerably and reduce total revenue.

(Absolute Value < 1): When demand is inelastic, the quantity consumed of a good is relatively unresponsive to a change in the price of the good. A price increase will reduce consumption very little. and increase total revenue.

How well did you know this?
1
Not at all
2
3
4
5
Perfectly
11
Q

Total Revenue Test

A

If demand is elastic, an increase (decrease) in price will lead to a decrease (increase) in total revenue. If demand is inelastic, an increase (decrease) in price will lead to an increase (decrease) in total revenue.

How well did you know this?
1
Not at all
2
3
4
5
Perfectly
12
Q

Perfectly Elastic Demand

A

Demand is perfectly elastic if the own price elasticity is infinite in absolute value and the demand curve is horizontal.

When demand is perfectly elastic, a manager who raises price even slightly will find that none of the good is purchased.

Example: Producers of generic (unbranded) products, such as aspirin, may face a demand curve that is perfectly elastic; a small increase in price may induce their customers to stop buying their product, in favor of a competing generic version of the product.

How well did you know this?
1
Not at all
2
3
4
5
Perfectly
13
Q

Perfectly Inelastic Demand

A

Demand is perfectly inelastic if the own price elasticity is zero and the demand curve is vertical.

When demand is perfectly inelastic, consumers do not respond at all to changes in price.

Example: Many perceive products and services in the health care industry (such as life-saving drugs) to have demand curves that are perfectly inelastic. While many have highly inelastic demand curves, they generally are not perfectly inelastic.

How well did you know this?
1
Not at all
2
3
4
5
Perfectly
14
Q

Factors that Affect Own Price Elasticity

A

Available substitutes, time, and expenditure share.

How well did you know this?
1
Not at all
2
3
4
5
Perfectly
15
Q

Available Substitutes

A

Demand is relatively elastic when there are many close substitutes for a good. A price increase leads consumers to substitute toward another product, thus considerably reducing the quantity demanded of the good.

Demand is relatively inelastic when there are few close substitutes for a good. This is because consumers cannot readily switch to a close substitute when the price increases.

How well did you know this?
1
Not at all
2
3
4
5
Perfectly
16
Q

Broadly Defined Commodities

A

The demand for broadly defined commodities tends to be more inelastic than the demand for specific commodities.

Example: The demand for food (a broad commodity) is more inelastic than the demand for beef. Short of starvation, there are no close substitutes for food; thus, the quantity demanded of food is much less sensitive to price changes than a particular type of food, such as beef.

When the price of beef increases, consumers can substitute other types of food, including chicken, pork, and fish. Thus, the demand for beef is more elastic than the demand for food.

17
Q

Time

A

Demand tends to be more inelastic in the short term than in the long term.

The more time consumers have to react to a price change, the more elastic the demand for the good.

Time allows the consumer to seek out available substitutes.

If a consumer has 30 minutes to catch a flight, he or she is much less sensitive to the price charged for a taxi ride to the airport than would be the case if the flight were several hours later. Given enough time, the consumer can seek alternative modes of transportation such as a bus, a friend’s car, or even on foot. But in the short term, the consumer does not have time to seek out the available substitutes, and the demand for taxi rides is more inelastic.

18
Q

Expenditure Share

A

Demand is inelastic if the good is relatively inexpensive to begin with.

Demand is elastic if the good is relative expensive to begin with.

Goods that comprise a relatively small share of consumers’ budgets tend to be more inelastic than goods for which consumers spend a sizable portion of their incomes.

In the extreme case, where a consumer spends her or his entire budget on a good, the consumer must decrease consumption when the price rises. There is nothing to give up but the good itself.

When a good comprises only a small portion of the budget, the consumer can reduce the consumption of other goods when the price of the good increases.

Most consumers spend very little on salt; a small increase in the price of salt would reduce quantity demanded very little since salt constitutes a small fraction of consumers’ total budgets.

19
Q

Marginal Revenue

A

The revenue increase resulting from the sale of one additional unit of output.

Marginal Revenue = Change in Revenue / Change in Quantity

Maximum Profit: Marginal revenue = marginal cost.

20
Q

Marginal Revenue and the Own Price Elasticity of Demand Equation

A

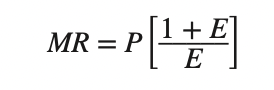
General relationship between marginal revenue and the elasticity of demand: MR = P [(1+E)/E]

P is the price of the good and E is the own price elasticity of demand for the good.

21
Q

−∞ < E < −1

A

When −∞ < E < −1, Demand is elastic and marginal revenue is positive.

22
Q

E = −1 (Profit Maximization)

A

When E = −1, demand is unitary elastic, and marginal revenue is zero.

The point where marginal revenue is zero is where total revenue is maximized.

23
Q

-1 < E < 0,

A

When −1 < E < 0, demand is inelastic, and marginal revenue is negative.

24
Q

Cross Price Elasticity

A

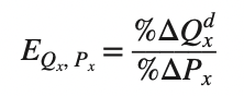
A measure of the responsiveness of quantity demanded of a good to changes in the price of a related good.

Helps managers determine how much its demand will rise or fall due to a change in the price of another firm’s product.

25
Cross-Price Elasticity Equation
The cross-price elasticity of demand between goods X and Y, denoted Example: If the cross-price elasticity of demand between a subscription to Hulu and a subscription to Netflix is 3, a 10 percent hike in the price of Netflix will increase the demand for Hulu by 30 percent since 30%∕10% = 3. This increase in demand for Hulu occurs because consumers substitute away from Netflix and toward Hulu, due to the price increase.
26
Cross-Price Elasticity: Substitutes
Whenever goods X and Y are substitutes, an increase in the price of Y leads to an increase in the demand for X. EQx,Py > 0 whenever goods X and Y are substitutes.
27
Cross-Price Elasticity: Complements
When goods X and Y are complements, an increase in the price of Y leads to a decrease in the demand for X. EQx,Py < 0 whenever goods X and Y are complements.
28
Income Elasticity
A measure of the responsiveness of the demand for a good to changes in consumer income.
29
Normal Good
When good X is a normal good, an increase in income leads to an increase in the consumption of X. Thus, EQx,M > 0 when X is a normal good.
30
Inferior Good
When X is an inferior good, an increase in income leads to a decrease in the consumption of X. Thus, EQx,M < 0 when X is an inferior good.
31
Own Advertising Elasticity of Demand
The own advertising elasticity of demand for good X is the ratio of the percentage change in the consumption of X to the percentage change in advertising spent on X.
32
Cross-Advertising Elasticity between goods X and Y
The cross-advertising elasticity between goods X and Y would measure the percentage change in the consumption of X that results from a percent change in advertising directed toward Y.
33
Demand Function Elasticities: For Linear Demand Functions
For a linear demand curve, the elasticity of demand with respect to a given variable is the variable's coefficient multiplied by the variable's ratio to the quantity demanded.