Chapter 9: Basic Oligopoly Models Flashcards

(35 cards)

1
Q

Oligopoly

A

A market structure in which there are only a few firms, each of which is large relative to the total industry.

Relatively few large firms in an industry. But no explicit number of firms is required for oligopoly, but the number usually is somewhere between 2 and 10.

The products the firms offer may be either identical (as in a perfectly competitive market) or differentiated (as in a monopolistically competitive market).

An oligopoly composed of only two firms is called a duopoly.

How well did you know this?
1
Not at all
2
3
4
5
Perfectly
2
Q

Oligopoly Interdependence

A

The actions of other firms will have a profound impact on the manager’s optimal decisions.

Example: Several firms selling differentiated products compete in an oligopoly. In determining what price to charge, the manager must consider the impact of his or her decisions on other firms in the industry.

If the price for the product is lowered, will other firms lower their prices or maintain their existing prices? If the price is increased, will other firms do likewise or maintain their current prices?

The optimal decision of whether to raise or lower price will depend on how the manager believes other managers will respond.

If other firms lower their prices when the firm lowers its price, it will not sell as much as it would if the other firms maintained their existing prices.

How well did you know this?
1
Not at all
2
3
4
5
Perfectly
3
Q

Oligopoly Demand Curve

A

Demand Depends on Actions of Rivals.

Suppose the firm initially is at point B, charging a price of P0.

Demand curve D1 is based on the assumption that rivals will match any price change, while D2 is based on the assumption that they will not match a price change.

How well did you know this?
1
Not at all
2
3
4
5
Perfectly
4
Q

Is demand more or less elastic when rivals match a price change?

A

Demand is less elastic and more inelastic when rivals match a price change than when they do not.

For a given price reduction, a firm will sell more if rivals do not cut their prices (D2) than it will if they lower their prices (D1). In effect, a price reduction increases quantity demanded only slightly when rivals respond by lowering their prices. Similarly, for a given price increase, a firm will sell more when rivals also raise their prices (D1) than it will when they maintain their existing prices (D2).

How well did you know this?
1
Not at all
2
3
4
5
Perfectly
5
Q

Matching Pricing Decisions between Firms

A

The demand for a firm’s product in oligopoly depends critically on how rivals respond to the firm’s pricing decisions.

If rivals will match any price change, the demand curve for the firm’s product is given by D1. In this instance, the manager will maximize profits where the marginal revenue associated with demand curve D1 equals marginal cost.

If rivals will not match any price change, the demand curve for the firm’s product is given by D2. In this instance, the manager will maximize profits where the marginal revenue associated with demand curve D2 equals marginal cost. In each case, the profit- maximizing rule is the same as that under monopoly; the only difficulty for the firm manager is determining whether or not rivals will match price changes.

How well did you know this?
1
Not at all
2
3
4
5
Perfectly
6
Q

Profit Maximization in Three Oligopoly Settings

A

Profit maximization differs based on alternative assumptions regarding how rivals will respond to price or output changes.

Each of the three models has different implications for the manager’s optimal decisions, and these differences arise because of differences in the ways rivals respond to the firm’s actions.

How well did you know this?
1
Not at all
2
3
4
5
Perfectly
7
Q

Cournot Oligopoly

A

An industry in which
(1) there are few firms in the market serving many consumers, (2) firms produce either differentiated or homogeneous (identical) products, (3) each firm believes rivals will hold their output constant if it changes its output, and (4) barriers to entry exist.

The Cournot model is relevant for decision making when managers make output decisions and believe that their decisions do not affect the output decisions of rival firms.

Firm 2 is the “mirror image” of firm 1.

How well did you know this?
1
Not at all
2
3
4
5
Perfectly
8
Q

Cournot Oligopoly Example

A

A few large oil producers must decide how much oil to pump out of the ground. The total amount of oil produced will certainly affect the market price of oil, but the underly- ing decision of each firm is not a pricing decision but rather the quantity of oil to produce. If each firm must determine its output level at the same time other firms determine their output levels, or, more generally, if each firm expects its own output decision to have no impact on rivals’ output decisions, then this scenario describes a Cournot oligopoly.

How well did you know this?
1
Not at all
2
3
4
5
Perfectly
9
Q

Reaction Function

A

A best-response function (also called a reaction function) defines the profit-maximizing level of output for a firm for given output levels of another firm.

How well did you know this?
1
Not at all
2
3
4
5
Perfectly
10
Q

Reaction Function: Example

A

Suppose there are only two firms competing in a Cournot duopoly: Each firm must make an output decision, and each firm believes that its rival will hold output constant as it changes its own output.

To determine its optimal output level, firm 1 will equate marginal revenue with marginal cost. Notice that since this is a duopoly, firm 1’s marginal revenue is affected by firm 2’s output level. In particular, the greater the output of firm 2, the lower the market price and thus the lower is firm 1’s marginal revenue.

The profit-maximizing level of output for firm 1 depends on firm 2’s output level: A greater output by firm 2 leads to a lower profit-maximizing output for firm 1. This relationship between firm 1’s profit-maximizing output and firm 2’s output is called a best-response or reaction function.

More formally, the profit- maximizing level of output for firm 1 given that firm 2 produces Q2 units of output is
Q1 = r1(Q2)

Similarly, the profit-maximizing level of output for firm 2 given that firm 1 produces Q1 units
of output is given by
Q2 = r2(Q1)

How well did you know this?
1
Not at all
2
3
4
5
Perfectly
11
Q

Cournot Reaction Functions for a Duopoly: Graph

A

Firm 1’s output is measured on the horizontal axis and firm 2’s output is measured on the vertical axis.

How well did you know this?
1
Not at all
2
3
4
5
Perfectly
12
Q

Profit Maximizing Response by Firm 1

A

If firm 2 produced zero units of output, the profit- maximizing level of output for firm 1 would be Q1M since this is the point on firm 1’s reaction function (r1) that corresponds to zero units of Q2.

This combination of outputs corresponds to the situation where only firm 1 is producing a positive level of output; thus, Q1M corresponds to the situation where firm 1 is a monopolist.

If instead of producing zero units of output firm 2 produced Q2 units, the profit-maximizing level of output for firm 1 would be Q1 since this is the point on r1 that corresponds to an output of Q*2 by firm 2.

The reason the profit-maximizing level of output for firm 1 decreases as firm 2’s output increases is: The demand for firm 1’s product depends on the output produced by other firms in the market. When firm 2 increases its level of output, the demand and marginal revenue for firm 1 decline. The profit-maximizing response by firm 1 is to reduce its level of output.

How well did you know this?
1
Not at all
2
3
4
5
Perfectly
13
Q

Cournot Equilibrium

A

A situation in which neither firm has an incentive to change its output given the other firm’s output.

How well did you know this?
1
Not at all
2
3
4
5
Perfectly
14
Q

Cournot Equilibrium: Example

A

Suppose firm 1 produces Q1M units of output.

Given this output, the profit-maximizing level of output for firm 2 will correspond to point A on r2 in Figure 9–3.

Given this positive level of output by firm 2, the profit-maximizing level of output for firm 1 will no longer be Q1M, but will correspond to point B on r1.

Given this reduced level of output by firm 1, point C will be the point on firm 2’s reaction function that maximizes profits. Given this new output by firm 2, firm 1 will again reduce output to point D on its reaction function.

Changes in output continue until point E is reached. At point E, firm 1 produces Q1 and firm 2 produces Q2 units.

Neither firm has an incentive to change its output given that it believes the other firm will hold its output constant at that level.

Point E thus corresponds to the Cournot equilibrium.

Cournot equilibrium is the situation where neither firm has an incentive to change its output given the output of the other firm. Graphically, this condition corresponds to the intersection of the reaction curves.

How well did you know this?
1
Not at all
2
3
4
5
Perfectly
15
Q

Solving for the Cournot equilibrium

A

To maximize profits, a manager in a Cournot oligopoly produces where marginal revenue equals marginal cost.

The calculation of marginal cost is straightforward; it is done just as in the other market structures we have analyzed. The calculation of marginal revenues is a little more subtle.

How well did you know this?
1
Not at all
2
3
4
5
Perfectly
16
Q

Marginal Revenue for Cournot Duopoly Equation

A

If the (inverse) market demand in a homogeneous-product Cournot duopoly is
P=a−b(Q1 +Q2)

Where a and b are positive constants,

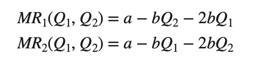
Then the marginal revenues of firms 1 and 2 are MR1(Q1, Q2) = a − bQ2 − 2bQ1, MR2(Q1, Q2) = a − bQ1 − 2bQ2

The marginal revenue for each Cournot oligopolist depends not only on the firm’s own output, but also on the other firm’s output.

In particular, when firm 2 increases its output, firm 1’s marginal revenue falls. This is because the increase in output by firm 2 lowers the market price, resulting in lower marginal revenue for firm 1.

17
Q

Reaction Functions for Cournot Duopoly

A

Since each firm’s marginal revenue depends on its own output and that of the rival, the output where a firm’s marginal revenue equals marginal cost depends on the other firm’s output level.

If we equate firm 1’s marginal revenue with its marginal cost and then solve for firm 1’s output as a function of firm 2’s output, we obtain an algebraic expression for firm 1’s reaction function.

Similarly, by equating firm 2’s marginal revenue with marginal cost and per- forming some algebra, we obtain firm 2’s reaction function.

The results of these computations are summarized as follows:

18
Q

Industry Output

A

Regardless of whether Cournot oligopolists produce homogeneous or differentiated products, industry output is lower than the socially efficient level. This inefficiency arises because the equilibrium price exceeds marginal cost.

The amount by which price exceeds marginal cost depends on the number of firms in the industry as well as the degree of product differentiation.

The equilibrium price declines toward marginal cost as the number of firms rises. When the number of firms is arbitrarily large, the equilibrium price in a homogeneous product Cournot market is arbitrarily close to marginal cost, and industry output approximates that under perfect competition (there is no deadweight loss).

19
Q

Law of Demand: Oligopoly

A

The profits of a firm in an oligopoly depend not only on the output it chooses to produce but also on the output produced by other firms in the oligopoly. In a duopoly, for instance, increases in firm 2’s output will reduce the price of the output.

This is due to the law of demand: As more output is sold in the market, the price consumers are willing and able to pay for the good declines. This will, of course, alter the profits of firm 1.

20
Q

Changes in Marginal Costs

A

Suppose the firms initially are in equilibrium at point E in Figure 9–8, where firm 1 produces Q1 units and firm 2 produces Q2 units.

Now suppose firm 2’s marginal cost declines. At the given level of output, marginal revenue remains unchanged but marginal cost is reduced. This means that for firm 2, marginal revenue exceeds the lower marginal cost, and it is optimal to produce more output for any given level of Q1.

Graphically, this shifts firm 2’s reaction function up from r2 to r2, leading to a new Cournot equilibrium at point F. Thus, the reduction in firm 2’s marginal cost leads to an increase in firm 2’s output, from Q2 to Q2, and a decline in firm 1’s output from Q1 to Q1. Firm 2 enjoys a larger mar- ket share due to its improved cost situation.

21
Q

Responding to a Reduction in the Firm’s Marginal Cost

A

In a Oligopoly setting, It may be optimal to continue to produce the same level of output even if marginal cost declines. If the manager believes other firms will maintain their existing output levels if the firm expands output, the Cournot model applies.

In this case, it is optimal to expand output if marginal cost declines. The most important ingredient in making manage- rial decisions in markets characterized by interdependence is obtaining an accurate grasp of how other firms in the market will respond to the manager’s decisions.

22
Q

Collusion

A

Whenever a market is dominated by only a few firms, firms can benefit at the expense of consumers by “agreeing” to restrict output or, equivalently, to charge higher prices. Such an act by firms is known as collusion.

23
Q

The Incentive to Collude in a Cournot Oligopoly

A

In Figure 9–9, point C corresponds to a Cournot equilibrium; it is the intersection of the reaction functions of the two firms in the market.

The equilibrium profits of firm 1 are given by isoprofit curve πC1 and those of firm 2 by πC2. t

The shaded lens-shaped area in Figure 9–9 contains output levels for the two firms that yield higher profits for both firms than they earn in a Cournot equilibrium.

For example, at point D each firm produces less output and en- joys greater profits since each of the firms’ isoprofit curves at point D is closer to the respective monopoly point.

In effect, if each firm agreed to restrict output, the firms could charge higher prices and earn higher profits.

The reason is easy to see. Firm 1’s profits would be highest at point A, where it is a monopolist. Firm 2’s profits would be highest at point B, where it is a monopolist. If each firm “agreed” to produce an output that in total equaled the monopoly out- put, the firms would end up somewhere on the line connecting points A and B. In other words, any combination of outputs along line AB would maximize total industry profits.

The outputs on the line segment containing points E and F in Figure 9–9 thus maximize total industry profits, and since they are inside the lens-shaped area, they also yield both firms higher profits than would be earned if the firms produced at point C (the Cournot equilibrium).

If the firms colluded by restricting output and splitting the monopoly profits, they would end up at a point like D, earning higher profits of π1 collude and π2 collude.

At this point, the corresponding market price and output are identical to those arising under monopoly: Collusion leads to a price that exceeds marginal cost, an output below the socially optimal level, and a deadweight loss. However, the colluding firms enjoy higher profits than they would earn if they competed as Cournot oligopolists.

24
Q

The Incentive to Renege on Collusive Agreements in Cournot Oligopoly

A

Suppose firms agree to collude, with each firm producing the collusive output associated with point D in Figure 9–10 to earn collusive profits.

Given that firm 2 produces Q2collusive, firm 1 has an incentive to “cheat” on the collusive agreement by expanding output to point G.

At this point, firm 1 earns even higher profits than it would by colluding since π1cheat > π1collude.

This suggests that a firm can gain by inducing other firms to restrict output and then expanding its own output to earn higher profits at the expense of its collusion partners. Because firms know this incentive exists, it is often difficult for them to reach collusive agreements in the first place.

This problem is amplified by the fact that firm 2 in Figure 9–10 earns less at point G (where firm 1 cheats) than it would have earned at point C (the Cournot equilibrium).

25
Stackelberg Oligopoly
An industry in which (1) there are few firms serving many consumers, (2) firms produce either differentiated or homogeneous products, (3) a single firm (the leader) chooses an output before rivals select their outputs, (4) all other firms (the followers) take the leader’s output as given and select outputs that maximize profits given the leader’s output, and (5) barriers to entry exist.
26
Stackelberg oligopoly: Decision Making
In many oligopoly markets, however, firms differ from one another (are not mirror images). In a Stackelberg oligopoly, firms differ with respect to when they make decisions. Specifically, one firm (the leader) is assumed to make an output decision before the other firms. Given knowledge of the leader’s output, all other firms (the followers) take as given the leader’s output and choose outputs that maximize profits. In a Stackelberg oligopoly, each follower behaves just like a Cournot oligopolist. In fact, the leader does not take the followers’ outputs as given but instead chooses an output that maximizes profits given that each follower will react to this output decision according to a Cournot reaction function.
27
Stackelberg Oligopoly: Example
There are only two firms. Firm 1 is the leader and thus has a “first-mover” advantage; that is, firm 1 produces before firm 2. Firm 2 is the follower and maximizes profit given the output produced by the leader. Because the follower produces after the leader, the follower’s profit-maximizing level of output is determined by its reaction function. This is denoted by r2 in Figure 9–11. However, the leader knows the follower will react according to r2. Consequently, the leader must choose the level of output that will maximize its profits given that the follower reacts to whatever the leader does. How does the leader choose the output level to produce? Since it knows the follower will produce along r2, the leader simply chooses the point on the follower’s reaction curve that corresponds to the highest level of profits. Because the leader’s profits increase as the isoprofit curves get closer to the monopoly output, the resulting choice by the leader will be at point S in Figure 9–11. This isoprofit curve, denoted π1S, yields the highest profits consistent with the follower’s reaction function. It is tangential to firm 2’s reaction function. Thus, the leader produces Q1S. The follower observes this output and produces Q2S, which is the profit-maximizing response to QS1. The corresponding profits of the leader are given by πS1, and those of the follower by πS2. The leader’s profits are higher than they would be in Cournot equilibrium (point C), and the follower’s profits are lower than in Cournot equilibrium. By get- ting to move first, the leader earns higher profits than would otherwise be the case.
28
Stackelberg Oligopoly: Algebraic Solution
The algebraic solution for a Stackelberg oligopoly can be obtained, provided firms have information about market demand and costs. The follower’s decision is identical to that of a Cournot model. For instance, with homogeneous products, linear demand, and constant marginal cost, the output of the follower is given by the reaction function which is the follower’s Cournot reaction function.
29
Leader's Profits
However, the leader in the Stackelberg oligopoly takes into account this reaction function when it selects Q1. With a linear inverse demand function and constant marginal costs, the leader’s profits are The leader chooses Q1 to maximize this profit expression. It turns out that the value of Q1 that maximizes the leader’s profits is
30
Equilibrium Outputs in Stackelberg Oligopoly: Formulas
31
Stackelberg Oligopoly: Deadweight loss
In general, price exceeds marginal cost in a Stackelberg oligopoly, meaning industry out- put is below the socially efficient level. This translates into a deadweight loss, but the dead- weight loss is lower than that arising under pure monopoly.
32
Bertrand oligopoly
An industry in which (1) there are few firms in the market serving many consumers, (2) firms produce identical products at a constant marginal cost, (3) firms compete in price and react optimally to competitors’ prices, (4) consumers have perfect information and there are no transaction costs, and (5) barriers to entry exist. Assumes the firms sell identical products and that consumers are willing to pay the (finite) monopoly price for the good.
33
Bertrand Oligopoly: Managers
From the viewpoint of the manager, Bertrand oligopoly is undesirable: It leads to zero economic profits even if there are only two firms in the market. From the viewpoint of con- sumers, Bertrand oligopoly is desirable: It leads to precisely the same outcome as a perfectly competitive market.
34
Bertrand duopoly: Example
Consumers have perfect information, and zero transaction costs, and because the products are identical, all consumers will purchase from the firm charging the lowest price. For concrete- ness, suppose firm 1 charges the monopoly price. By slightly undercutting this price, firm 2 would capture the entire market and make positive profits, while firm 1 would sell nothing. Therefore, firm 1 would retaliate by undercutting firm 2’s lower price, thus recapturing the entire market. When would this “price war” end? When each firm charged a price that equaled marginal cost: P1 = P2 = MC. Given the price of the other firm, neither firm would choose to lower its price, for then its price would be below marginal cost and it would make a loss. Also, no firm would want to raise its price, for then it would sell nothing. In short, Bertrand oligopoly and homogeneous products lead to a situation where each firm charges marginal cost and eco- nomic profits are zero. Since P = MC, homogeneous-product Bertrand oligopoly results in a socially efficient level of output. Indeed, total market output corresponds to that in a perfectly competitive industry, and there is no deadweight loss. The key is to either raise switching costs or eliminate the perception that the firms’ products are identical. The product differentiation induced by these strategies permits firms to price above marginal cost without losing customers to rivals. The appendix to this chapter illustrates that, under differentiated-product price competition, reaction functions are upward sloping and equilibrium occurs at a point where prices exceed marginal cost. This explains, in part, why firms such as Kellogg’s and General Mills spend millions of dollars on advertisements designed to persuade consumers that their competing brands of corn flakes are not identical. If consumers did not view the brands as differentiated products, these two makers of breakfast cereal would have to price at marginal cost.
35
Contestable Markets
Strategic interaction can also exist between existing firms and potential entrants into a market. A market in which (1) all firms have access to the same technology, (2) consumers respond quickly to price changes, (3) existing firms cannot respond quickly to entry by lowering their prices, and (4) there are no sunk costs. If these four conditions hold, incumbent firms (existing firms in the market) have no market power over consumers. That is, the equilibrium price corresponds to marginal cost, and firms earn zero economic profits. This is true even if there is only one existing firm in the market.