Chapter 4 Flashcards

(7 cards)

1
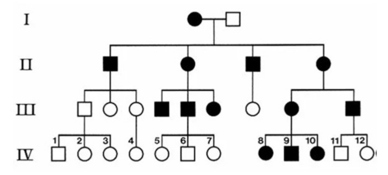
Q

What mode of inheritance is this?

A

Autosomal recessive

If there is equal number girls and boys affected, and unaffected parents are still able to produce affected offspring

How well did you know this?
1
Not at all
2
3
4
5
Perfectly
2
Q

If there are more males affected than females, what inheritance pattern is it?

A

X-linked recessive

How well did you know this?
1
Not at all
2
3
4
5
Perfectly
3
Q

What mode of inheritance is this?

A

Mitochondrial aka MATERNAL!

If only mom is able to pass it to all her kids

How well did you know this?
1
Not at all
2
3
4
5
Perfectly
4
Q

If there are more females affected than males, what inheritance pattern is it?

A

X linked dominant

How well did you know this?
1
Not at all
2
3
4
5
Perfectly
5
Q

Penetrance

A

The probability that a disease phenotype will be present when the disease genotype is present

How well did you know this?
1
Not at all
2
3
4
5
Perfectly
6
Q

Expressivity

A

The potentially variable degree of phenotypic expression of a trait. NOT THE SAME AS CODOMINANCE!

(A hairless cat and hairy cat all have kittens with different amounts of fur)

How well did you know this?
1
Not at all
2
3
4
5
Perfectly
7
Q

Penetrance vs Expressivity

A

Penetrance gives the quantity of how often a person with the genotype actually show the phenotype (ex. 61% of people have penetrance for oddly shaped ears)

Expressivity gives the qualities of the variation or severity of the phenotype (ex. 61% have oddly shaped ears but some have big ears, some have small ears, some have lopsided ears, etc.)

How well did you know this?
1
Not at all
2
3
4
5
Perfectly