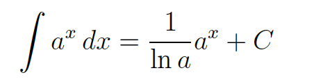
What is the integral of ax?

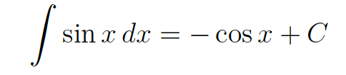
What is the integral of sinx?

What is the integral of cosx?

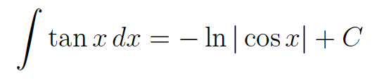
what is the integral of tanx?

what is the integral os sec2x?

what is the integral of secx?

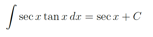
what is the integral of secxtanx?

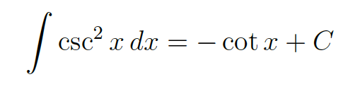
what is the integral of csc2x?

what is the integral of cotx?

what is the integral of cscx?

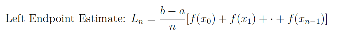
What is the formula for finding a left Riemann sum?

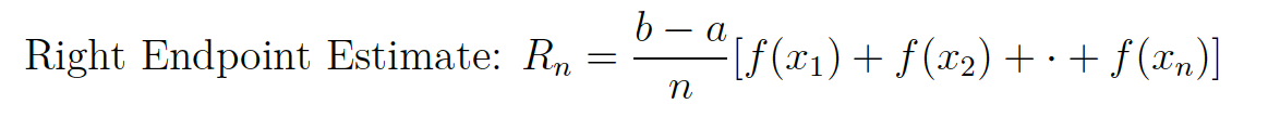
What is the formula for finding a right Riemann sum?

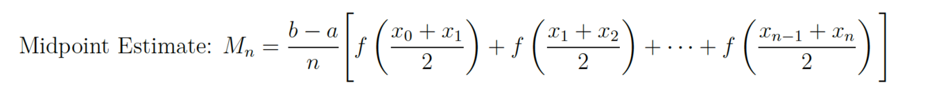
What is the formula for finding a midpoint Riemann sum?

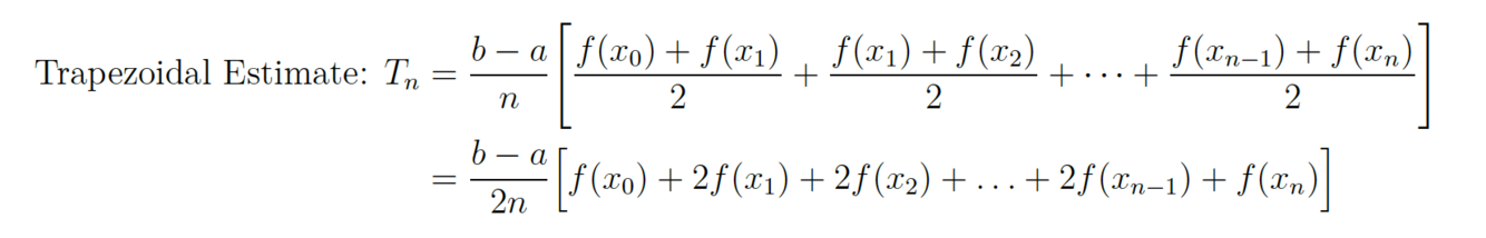
What is the formula for finding a trapezoidal Riemann sum?
