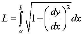
what is the formula for arc length?
note: it is easier to derive the formula than to remember it. To derive, simply differentiate ds2 = dx2 + dy2 with respect to x

what is the formula for exponential growth?
y = cekt
c is the initial amount of y at time t=0
k is the growth rate
t is the time
or
P = P0ekt
what is the formula for logistic growth?
y = A ÷ (1 + ce-Akt)
A is a fixed constant (such as the carrying capacity)
k is the growth rate
t is time
or
y = (AMekMt)/(1 + AekMt)
what is the formula for Euler’s Method?
yn = yn-1 + h * f’(xn-1, yn-1)
h is the step size
y’ = F(xn, yn)
or
yn = (dy/dx)(∆x) + y
what is the formula for approximate error?
exact value - approximate value = approximate error
what is the formula for percent error?
(|exact value - approximate value| / |exact value|) x 100