Decision Tree Algorithms
Computing Information
Industrial-Strength Algorithms
Pruning
Postpruning
Subtree replacement replaces a subtree with a single leaf node (main method).
Subtree raising moves a subtree to a higher level in the decision tree, subsuming its parent

When to Prune a Tree?

Bernoulli Process

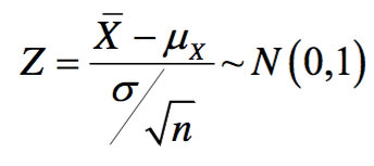
Central Limit Theorem Revisited

Using the Confidence Interval of a Normal Distribution
</x>
Confidence Limits

Transforming f

C4.5’s Method
C4.5 Example


From Trees to Rules
C4.5 and C4.5rules: Summary
Knowledge Discovery Process

Data Understanding: Quantity
Data Understanding
Data Cleaning: Outline
Data Cleaning: Missing Values
Conversion: Ordered to Numeric
Conversion: Nominal, Few Values
Nominal, many values: Ignore ID-like fields whose values are unique for each record

Data Cleaning: Discretization
Discretization: Equal-Width
