What are the assumptions about the model?
What is the current period equation to show the amount of disposable income?

What does it mean when s<0?
Consumer is a borrower
What does it mean when s>0?
Consumer is a lender
What is a bond?
A promise to pay something in the future in exchange for some consumption goods
What is the private disposable income?
Income left after tax is taken away
What does a prime (‘) mean?
The future period
What is the relative price of future consumption?
1/1+r
What is an equation for future consumption?

What is lifetime wealth?
Quantity of resourcs available to consumer (in current consumption goods) to spend on consumption goods over their lifetime (2 periods)

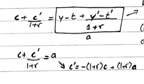
What is the proof for lifetime wealth?

Diagram

What is the endowment point?
What is the proof for the linear equation of the intertemporal budget constraint?

Lenders and borrowers

Smooth consumption
Smooth transition between periods, therefore no stark differences in the bundles.
As both current and future goods are normal, then when there is a shift in the budget constraint, there is an increase in current and future income
What causes the budget constraint to shift?
Changes in lifetime wealth
What represents preferences?
Indifference curves

Optimal choice for a lender

Optimal choice for a borrower

Where is the optimal choice?
Where the utility function and budget line meet at one point
Marginal rate of subsitution = 1+r
rate at which he or she is willing to trade off current consumption for future consumption is the same as the rate at which he or she can trade current consumption for future consumption in the market (by saving).
Impact of an increase in current disposable income on the budget lines

Increase in current disposable income on the optimal choice:

Increase in future consumption on the budget line:
