Classification Flashcards

(6 cards)

1
Q

What is classification?

A
How well did you know this?
1
Not at all
2
3
4
5
Perfectly
2
Q

What are we more interested in finding with classification?

A

The probability that X belongs in category C.

How well did you know this?
1
Not at all
2
3
4
5
Perfectly
3
Q

Can you use linear regression with classifciation?

A

If the scenario is binary outcome, otherwise maybe not.

How well did you know this?
1
Not at all
2
3
4
5
Perfectly
4
Q

What is the issue with linear regression and classifcation?

A
How well did you know this?
1
Not at all
2
3
4
5
Perfectly
5
Q

Linear Regression vs Logistic Regression

A
How well did you know this?
1
Not at all
2
3
4
5
Perfectly
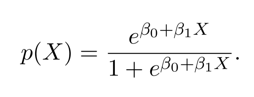
6
Q

What is the logistic regression form?

A
How well did you know this?
1
Not at all
2
3
4
5
Perfectly