Complex Numbers Flashcards

(26 cards)

1
Q

What is a complex number?

A

A complex number consists of two parts: a real part and an imaginary part.

Z=a+jb where a and b are real numbers, and j=−1.

How well did you know this?
1
Not at all
2
3
4
5
Perfectly
2
Q

Why is the symbol j used in electronics instead of i?

A

To avoid confusion with i, which usually denotes current.

How well did you know this?
1
Not at all
2
3
4
5
Perfectly
3
Q

What does the term ‘imaginary number’ refer to?

A

It refers to the part of a complex number multiplied by the imaginary unit j.

How well did you know this?
1
Not at all
2
3
4
5
Perfectly
4
Q

How is a complex number represented graphically?

A

On the complex (Argand) plane — the horizontal axis is the real part, and the vertical axis is the imaginary part.

How well did you know this?
1
Not at all
2
3
4
5
Perfectly
5
Q

What is another name for the complex plane?

A

Argand plane or Gaussian plane.

How well did you know this?
1
Not at all
2
3
4
5
Perfectly
6
Q

What is the rectangular (Cartesian) form of a complex number?

A

Z=a+jb where a is the horizontal position (real part) and b is the vertical position (imaginary part).

How well did you know this?
1
Not at all
2
3
4
5
Perfectly
7
Q

What is the magnitude r of a complex number?

A

r=√(a²+b²)

How well did you know this?
1
Not at all
2
3
4
5
Perfectly
8
Q

What is the angle θ (argument or phase angle)?

A

θ=tan⁡−1(b/a).

How well did you know this?
1
Not at all
2
3
4
5
Perfectly
9
Q

How is a complex number written in trigonometric form?

A

Z=r(cosθ+jsinθ).

How well did you know this?
1
Not at all
2
3
4
5
Perfectly
10
Q

How do you express a and b in terms of r and θ?

A

a=rcosθ, b=rsinθ.

How well did you know this?
1
Not at all
2
3
4
5
Perfectly
11
Q

What is Euler’s relationship between trigonometric and exponential forms?

A

e^(jθ)=cosθ+jsinθ.

How well did you know this?
1
Not at all
2
3
4
5
Perfectly
12
Q

Using Euler’s formula, how can we express a complex number?

A

Z=re^(jθ).

How well did you know this?
1
Not at all
2
3
4
5
Perfectly
13
Q

What shorthand notation is used for the exponential form?

A

Z=r∠θ.

How well did you know this?
1
Not at all
2
3
4
5
Perfectly
14
Q

How to convert from rectangular to polar form?

A

r = √(a² + b²), θ = tan⁻¹(b/a)

How well did you know this?
1
Not at all
2
3
4
5
Perfectly
15
Q

How to convert from polar to rectangular form?

A

a = r cos(θ), b = r sin(θ)

How well did you know this?
1
Not at all
2
3
4
5
Perfectly
16
Q

How do you add or subtract complex numbers in rectangular form?

A

Z₁ ± Z₂ = (a₁ ± a₂) + j(b₁ ± b₂)

17
Q

Why is rectangular form best for addition/subtraction?

A

Because real and imaginary parts can be added directly.

18
Q

How do you multiply two complex numbers in polar form?

A

Z₁ Z₂ = r₁ r₂ ∠(θ₁ + θ₂)

19
Q

How do you divide two complex numbers in polar form?

A

Z₁/Z₂ = r₁/r₂ ∠(θ₁ − θ₂)

20
Q

What are the basic powers of j?

A

j = -1, j^2 = -1, j^3 = -j, j^4 = 1

21
Q

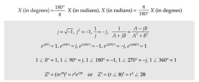
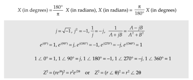
What is the reciprocal of j?

22
Q

What is 1/(A + jB) in complex form?

A

1/(A + jB) = (A - jB) / (A^2 + B^2)

23
Q

What is e^(j0°), e^(j90°), e^(j180°), and e^(j270°)?

A

e^(j0°) = 1, e^(j90°) = j, e^(j180°) = -1, e^(j270°) = -j

24
Q

What is the magnitude (modulus) of Z?

A

|Z| = √((Re Z)^2 + (Im Z)^2)

25
What is the argument (phase angle) of Z?
arg(Z) = tan^(-1)(Im Z / Re Z)
26
What does arg(Z) represent physically?
The angle θ that the complex number makes with the positive real axis.