Sinusoidal Sources in Complex Notation Flashcards

Explains circuits with sinosidal sources, Analyze sino.....with complex impedances etc (32 cards)

1
Q

What elements make up linear sinusoidal circuits?

A

Linear sinusoidal circuits contain resistors (R), capacitors (C), and inductors (L) driven by sinusoidal voltage sources.

How well did you know this?
1
Not at all
2
3
4
5
Perfectly
2
Q

What is complex impedance?

A

A frequency-dependent generalization of resistance combining resistive and reactive effects.

How well did you know this?
1
Not at all
2
3
4
5
Perfectly
3
Q

Why use complex impedance in AC analysis?

A

It allows capacitors and inductors to be treated as resistors with complex values, avoiding differential equations.

How well did you know this?
1
Not at all
2
3
4
5
Perfectly
4
Q

After transients die out, what do currents and voltages look like in a linear sinusoidal circuit?

A

They remain sinusoidal with the same frequency as the source but may differ in amplitude and phase.

How well did you know this?
1
Not at all
2
3
4
5
Perfectly
5
Q

What does the superposition theorem state?

A

The total current in a branch equals the sum of currents caused by each source acting independently.

How well did you know this?
1
Not at all
2
3
4
5
Perfectly
6
Q

What happens when you add two sine waves of the same frequency but different phases?

A

You get another sine wave of the same frequency but different amplitude and phase.

How well did you know this?
1
Not at all
2
3
4
5
Perfectly
7
Q

What happens when adding sine waves of different frequencies?

A

The result is not a single sine wave.

How well did you know this?
1
Not at all
2
3
4
5
Perfectly
8
Q

How are phase shifts represented mathematically?

A

Using complex numbers; 𝑗𝑉0sin(Ο‰t) represents the imaginary phase component.

How well did you know this?
1
Not at all
2
3
4
5
Perfectly
9
Q

How is Ohm’s law expressed in AC using complex impedance?

A

𝑉(πœ”)=𝐼(πœ”)𝑍(πœ”)

How well did you know this?
1
Not at all
2
3
4
5
Perfectly
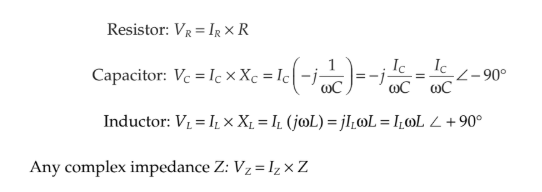
10
Q

What is the voltage across a resistor in AC?

A

Resistor: VR = IR Γ— R

How well did you know this?
1
Not at all
2
3
4
5
Perfectly
11
Q

What is the voltage across a capacitor in AC?

A

𝑉𝐢=𝐼𝐢(βˆ’π‘—πœ”πΆ)

How well did you know this?
1
Not at all
2
3
4
5
Perfectly
12
Q

What is the voltage across an inductor in AC?

A

𝑉𝐿=𝐼𝐿(π‘—πœ”πΏ)

How well did you know this?
1
Not at all
2
3
4
5
Perfectly
13
Q

How is total impedance for a series circuit found?

A

π‘π‘‘π‘œπ‘‘π‘Žπ‘™=𝑍1+𝑍2+…+𝑍𝑁

How well did you know this?
1
Not at all
2
3
4
5
Perfectly
14
Q

How is impedance represented for a series RLC circuit?

A

The phase angle is measured in terms of voltage.

How well did you know this?
1
Not at all
2
3
4
5
Perfectly
15
Q

What does the real and imaginary part of 𝑍 represent?

A

Real part β†’ resistance;
Imaginary part β†’ net reactance.

How well did you know this?
1
Not at all
2
3
4
5
Perfectly
16
Q

Why is impedance analysis useful in AC circuits?

A

It allows use of algebraic methods (Ohm’s law, Kirchhoff’s laws) instead of differential equations.

17
Q

How is a sinusoidal voltage expressed in time form?

A

𝑉(𝑑)=𝑉0cos(Ο‰t)

18
Q

What is its complex (trigonometric) representation?

A

𝑉0(cos(Ο‰t)+jsin(Ο‰t))

19
Q

What is its exponential (Euler) form?

A

𝑉0π‘’π‘—πœ”π‘‘

20
Q

What does the complex representation mean graphically?

A

A vector (phasor) of magnitude 𝑉0 rotating counterclockwise in the complex plane at angular speed πœ”.

21
Q

What is the impedance of a capacitor?

22
Q

What is the impedance of an inductor?

A

𝑍𝐿=π‘—πœ”πΏ=πœ”πΏβˆ +90∘

23
Q

What is the general expression for impedance?

A

𝑍=𝑅+𝑗𝑋, where 𝑋 is reactance (capacitive or inductive).

24
Q

What is a phasor?

A

A complex representation of a sinusoidal quantity showing magnitude and phase but not time.

25
What is the phase relationship for a resistor?
Current and voltage are in phase (πœ™=0∘).
26
What is the phase relationship for a capacitor?
Current leads voltage by 90∘.
27
What is the phase relationship for an inductor?
Current lags voltage by 90∘.
28
What does a positive phase angle indicate?
Current leads voltage (capacitive behavior).
29
What are the difference btw capacitance, inductance, reactance and impedance ?
Capacitance = how much charge can be stored. Inductance = how much magnetic energy can be stored. Reactance = how much the capacitor or inductor resists AC current. Impedance = total AC resistance (including reactance and resistance).
30
What is the formula for ac voltage divider ?
31
How do you convert RMS voltage to peak voltage ?
32
What are the Steps to Solve a Series RL AC Circuit (Example Summary)