Name each
conic section.
Circle
Ellipse
Parabola
Hyperbola

What
information
do you need to write the
equation of a
circle in standard form?
What is the
(x − h)2 + (y − k)2 = r2
h: x-coordinate of center
k: y-coordinate of center
r: radius length
Given a
circle’s
center at
(−3, 4)
and
radius length of
7,
what is the circle’s
equation in standard form?
(x + 3)2 + (y − 4)2 = 49
Given a
circle’s
center at
(1, 1)
and that
(3, 4)
lies on the circle,
what is the circle’s
radius?
√13
Apply the distance formula
r = √( Δx2 + Δy2)
= √ ((3 − 1)2 + (4 − 1)2)
(it doesn’t matter which point goes first in the subtraction as long as you’re consistent)
= √ ((2)2 + (3)2)
= √ ((2)2 + (3)2)
= √ (4 + 9)
= √13

What is the
The result of
expanding the binomial squares
in the standard form and
combining like terms
e.g.:
x2 + y2 − 2x − 4y − 4 = 0
Given this
circle’s equation in
expanded form,
x2 + y2 − 2x − 4y − 4 = 0,
how do you
Complete the squares
x2 + y2 − 2x − 4y − 4 = 0
x2 − 2x + y2 − 4y − 4 = 0
x2 − 2x + y2 − 4y = 4
(x2 − 2x + 1) + (y2 − 4y + 4) = 4 + 4 + 1
(you know which numbers to add by halving each of the first-degree terms and then squaring that result)
(x − 1)2 + (y − 2)2 = 9
What is the
(x − h)2 + (y − k)2 = 1
<span>a</span>2 b2
h: x-coordinate of center
k: y-coordinate of center
a: horizontal radius (think of as rh)
b: vertical radius (think of as rv)
What are the
noteworthy points
of an
ellipse?
Center
Foci
Vertices
Co-vertices

What point is
shown here?

The

What points are
shown here?

The

What points are
shown here?

The

What points are
shown here?

The

What are the
noteworthy distances
of an
ellipse?
Major radius
Minor radius
(q)
Focal length
(f )
(p)
In the
ellipse below,
what
distance is shown?

The
major radius
The distance from the
center to
either vertex
Usually called p

In the
ellipse below,
what
distance is shown?

The
minor radius
The distance from the
center to
either co-vertex
Usually called q

In the
ellipse below,
what
distance is shown?

The
focal length
The distance from the
center to
either focus
Usually called f

From any

d(N, f1) + d(N, f2) = 2p

In an
ellipse,
what’s the
relationship between the
major radius, minor radius, and
focal length?
f 2 = p2 − q2
Derived from the
Pythagorean theorem
With any two pieces of information,
you can calculate the third
How we know this:

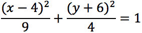
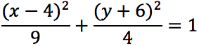
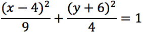
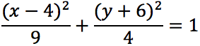
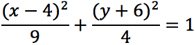
What is the

(4, −6)
The standard equation of an ellipse is
(x − h)2 + (y − k)2 = 1
rh2 rv2
where (h, k) is the center of the ellipse, so the coordinates both switch signs

What is the

p = 3

What is the

q = 2

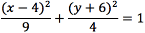
An
ellipse’s
center is (−1, 1),
major radius is 6,
minor radius is 4, and
vertices are (−1, 7) and (−1, −5).
How would the ellipse be
written in standard form?

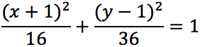
An
ellipse’s
center is (0, 0),
major radius is 5,
minor radius is 4, and
co-vertices are (4, 0) and (−4, 0).
How would the ellipse be
written in standard form?
