Define continuity at a point.

What are the three requirements for continuity at a point?

When is a function continuous from the left? From the right?

When is a function discontinuous at a point “a”?
A function f(x) is discontinuous at a point x=a if:
What is the definition of continuity over an interval?

What is the greatest integer function?
The greatest integer function is noted by [[x]] or int(x) and is defined as [[x]] = n, where “n” is the greatest integer ≤ “x”.
Examples: 1. [[3.5]] = 3 2. [[-3.5]] = -4

What is the definition of continuity over a closed interval?
A function f(x) is said to be continuous over a closed interval [a,b] if and only if:
What are the properties of continuity for two functions “f” and “g” at x=a, “c” serving as a constant.

What types of functions are continuous?

Define a polynomial function.

What is the form/definition of a rational function?

What functions are continuous over their entire domains?

Over what intervals are sine and cosine functions continuous?
sin (x) and cos(x) are continuous over (-∞,∞).

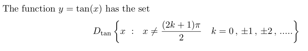
Over what intervals are tangent and secant continuous?
tan(x) and sec(x) are continuous for when x≠nπ/2, where “n” is odd.

Over what intervals are cotangent and cosecant continuous?
cot(x) and csc(x) are continuous when x≠nπ, where “n” is any integer.

When are composite functions continuous?
If “g” is continuous at “c” and “f” is continous at g(c), then the composite function f(g(c)) is continuous at g(c).

Explain composite functions.

Explain the intermediate value theorem.

Explain the end-behavior test for polynomials.

What is the definition of a horizontal asymptote?

Define a horizontal asymptote?
The line y = L is called a horizontal asymptote if and only if the limit as “x” approaches ±∞ = L
Note another theorem.
What do the highest degrees of rational functions indicate?
For a rational function: