What is the intuitive (informal) definition of a limit?
If f(x) becomes arbitrarily close to a single number “L” as x approaches “a” both from the right and left sides, then the limit of f(x) as “x” approaches “a” is “L” and written as shown.

What is the definition of a one-sided limit?

When does a limit exist?

When does a limit fail to exist?
Limits fail to exist:

Explain some of the most crucial Theorems for Basic Limits.
Theorems for Basic Limits:

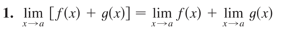
Explain the sum law of limits supposing all limits exist.
The limit of a sum is the sum of the limits.

Explain the difference law of limitis supposing all limits exist.
The limit of a difference is the differences of the limits.

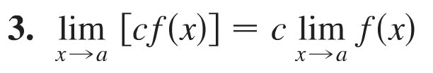
Explain the constant multiple law of limits supposing that “c” is a constant and that all limits exist.
The limit of a constant times a function is the constant times the limit of the function.

Explain the product law of limits supposing all limits exist.
The limit of a product is the product of the limits.

Explain the quotient law of limits supposing all limits exist.
The limit of a quotient is the quotient of the limits (provided that the limit of the denominator is not 0).

Explain the power law of limits supposing all limits exist.

Explain some additional special limits.

Explain the root law of limits supposing all limits exist.

Note another theorem (properties of limits).
Explain the direct substitution property of limits.

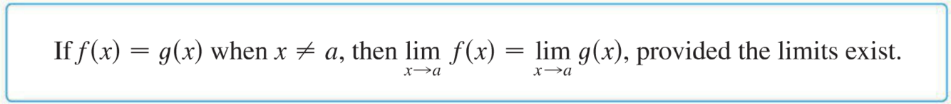
What is true if f(x) = g(x) when x ≠ a?

Note another theorem of limits.

Explain the greatest integer function.

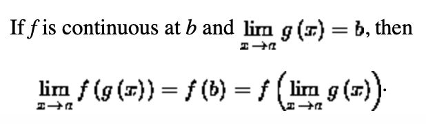
Explain the composition rule of limits.

Explain the natural logarithm rule of limits.

Explain the strategy for finding limits.
Explain the Squeeze Theorem.

Note an important limit theorem.

Explain the precise definition of a limit.
