Continuous Distributions Flashcards

(27 cards)

1
Q

Continuous Uniform Distribution, Parameters

A
How well did you know this?
1
Not at all
2
3
4
5
Perfectly
2
Q

Continuous Uniform Distribution, PDF p(x)

A
How well did you know this?
1
Not at all
2
3
4
5
Perfectly
3
Q

Continuous Uniform Distribution, Mean E[X]

A
How well did you know this?
1
Not at all
2
3
4
5
Perfectly
4
Q

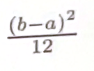
Continuous Uniform Distribution, Variance Var[X]

A
How well did you know this?
1
Not at all
2
3
4
5
Perfectly
5
Q

Continuous Normal Distribution, Parameters

A
How well did you know this?
1
Not at all
2
3
4
5
Perfectly
6
Q

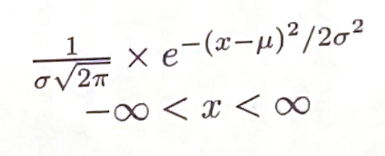
Continuous Normal Distribution, PDF p(x)

A
How well did you know this?
1
Not at all
2
3
4
5
Perfectly
7
Q

Continuous Normal Distribution, Mean E[X]

A
How well did you know this?
1
Not at all
2
3
4
5
Perfectly
8
Q

Continuous Normal Distribution, Var[X]

A
How well did you know this?
1
Not at all
2
3
4
5
Perfectly
9
Q

Continuous Exponential Distribution, Parameters

A
How well did you know this?
1
Not at all
2
3
4
5
Perfectly
10
Q

Continuous Exponential Distribution, PDF p(x)

A
How well did you know this?
1
Not at all
2
3
4
5
Perfectly
11
Q

Continuous Exponential Distribution, Mean E[X]

A
How well did you know this?
1
Not at all
2
3
4
5
Perfectly
12
Q

Continuous Exponential Distribution, Variance, Var[X]

A
How well did you know this?
1
Not at all
2
3
4
5
Perfectly
13
Q

Continuous Exponential Distribution, CDF, F(x)

A
How well did you know this?
1
Not at all
2
3
4
5
Perfectly
14
Q

Continuous Gamma Distribution, Parameters

A
How well did you know this?
1
Not at all
2
3
4
5
Perfectly
15
Q

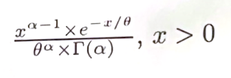
Continuous Gamma Distribution, PDF p(x)

A
How well did you know this?
1
Not at all
2
3
4
5
Perfectly
16
Q

Continuous Gamma Distribution, Mean E[X]

17
Q

Continuous Gamma Distribution, Variance Var[X]

18
Q

Continous Lognormal Distribution, Parameters

19
Q

Continous Lognormal Distribution, PDF p(x)

20
Q

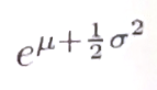
Continous Lognormal Distribution, Mean E[X]

21
Q

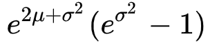
Continous Lognormal Distribution, Variance Var[X]

22
Q

Continous Beta Distribution, Parameters

23
Q

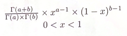
Continous Beta Distribution, PDF p(x)

24
Q

Continous Beta Distribution, Mean E[X]

25
Continous Beta Distribution, Variance Var[X]
26
Continous Lognormal Distribution, Median
27
Continous Lognormal Distribution, Mode