Noteworthy Formulas Flashcards

(14 cards)

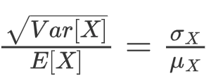
1
Q

Coefficient of Variation

A
How well did you know this?
1
Not at all
2
3
4
5
Perfectly
2
Q
A
How well did you know this?
1
Not at all
2
3
4
5
Perfectly
3
Q

n is a positive integer

A
How well did you know this?
1
Not at all
2
3
4
5
Perfectly
4
Q

Sample Mean

A
How well did you know this?
1
Not at all
2
3
4
5
Perfectly
5
Q

Sample Variance

A
How well did you know this?
1
Not at all
2
3
4
5
Perfectly
6
Q

Alternative Formula for Expecation

A
How well did you know this?
1
Not at all
2
3
4
5
Perfectly
7
Q

Third Moment About the Mean

A
How well did you know this?
1
Not at all
2
3
4
5
Perfectly
8
Q

*

A
How well did you know this?
1
Not at all
2
3
4
5
Perfectly
9
Q

Relationship between Variance and Expected Value, Poisson Distribution

A

Var[X]=E[X]

How well did you know this?
1
Not at all
2
3
4
5
Perfectly
10
Q

Relationship between Variance and Expected Value, Binomial Distribution

A

Var[X] < E[X]

How well did you know this?
1
Not at all
2
3
4
5
Perfectly
11
Q

Relationship between Variance and Expected Value, Neg. Binomial Distribution

A

Var[X] > E[X]

How well did you know this?
1
Not at all
2
3
4
5
Perfectly
12
Q

Coefficient of Correlation

A
How well did you know this?
1
Not at all
2
3
4
5
Perfectly
13
Q

Var[aX+bY+c]

A
How well did you know this?
1
Not at all
2
3
4
5
Perfectly
14
Q

Cov[X,Y]

A

Cov[X,Y]=E[XY]-E[X]E[Y]

How well did you know this?
1
Not at all
2
3
4
5
Perfectly