Explain what it means for a Markov chain to be periodic with period d
Irreducible Markov chain
Mathematical definition of the Markov property

Condition for unique stationary distribution
Stationarity of stochastic process

If the statistical properties of a process do not vary over time, the process is stationary.

Stationarity
If the statistical properties of a process do not vary over time, the process is stationary.
Weak stationarity
E(Xt) and var(Xt) are constant
cov(Xt1, Xt2) depends only on the lag t2 - t1
White noise
White noise is a stochastic process that consists of a set of independent and identically distributed random variables. The random variables can be either discrete or continuous and the time set can be either discrete or continuous. White noise processes are stationary and have the Markov property
Poisson process

Chapman-Kolmogorov equations

Survival probability

Joint distribution of waiting time Vi and Death indicator Di

Maximum likelihood estimate of µ

Poisson model mortality

Maximum likelihood estimator Possion model

Distribution of the waiting times between consecutive events of a Poisson process Nt ~ Poi (lambda*t)

Wt~Exp(lambda)

Chi-squared test to test goodness of fit of probability distribution
X^2 = (A-E)^2 / E
degrees of freedom: n - p
where
e.g.
Occupancy probability for Markov jump processes (time-homogeneous and -inhomogeneous)

Integrated form of the Kolmogorov backward equation (time-inhomogeneous)
check Chapter 5 Section 7 for explanation

Integrated form of the Kolmogorov forward equation (time-inhomogeneous)
check Chapter 5 Section 8 for explanation

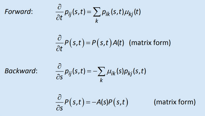
Kolmogorov equations (forward and backward)
time-inhomogeneous

Number of possible triplets in a Markov jump process
For each state X, the number of possible triplets with X as second state is
number of ways into X * number of ways out of X
Fx(t) as a function of F(t) and S(t)
(F(x+t) - F(x)) / S(x)
Sx(t) as a function of F(t) and S(t)
Sx(t) = S(x+t) / S(x)