General formula for Cox proportional hazard (PH) model

Ratio of hazards of lives with covariate vectors z1 and z2 (Cox PH model)

Proportional hazards model: Likelihood estimator for beta vector

Aims of graduation
Desirable features of graduation
Degrees of freedom for Xi-Squared test
Distributions of D_x and mu~x

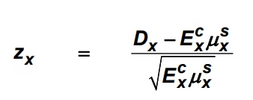
Mortality experience: Deviation

Mortality experience: Standardised deviation

Degrees of freedom when comparing an experience with a standard table
Degrees of freedom = number of age groups
Xi-squared failures: Standardised deviations test
To detect a few large deviations that the Xi-square test did not detect
Check if standardised deviations of mortality are following the standard normal distribution with Xi-Squared test
Xi-squared failures: Signs test
To detect imbalance between negative and positive deviations
Binomial distribution
N number of negative deviations:
Check that 2*P(N <= x) > 5%
P number of positive deviations:
Check that 2*P(P >= x) > 5%
Xi-squared failures: Cumulative deviations

Xi-squared failures: Grouping of signs test
Detects ‘clumping’ of devations with the same sign.
Check ‘Grouping of signs test’ in tables.
If number of groups of positive (or negative) runs is lower or equal than the test statistic, we can reject the null hypothesis.
Testing smoothness of graduation
Third difference (change in curvature) of the graduated quantities should
Methods of graduation
Morality projection - Method based on expectation

Autocovariance function

Simplify:


Autocorrelation function

Correlation formula

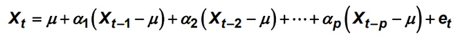
Autoregressive process of order p
AR(p)

Moving average process of order q
MA(q)

Autoregressive moving average
ARMA(p,q)
