How do you derive a moment from a moment generating function (m.g.f)?
Continuous function MGF:
integral of etxf(x)
Discrete function MGF: sum[0,∞] of etxf(x)
Differentiate MGF i times for i’th moment and then evaluate derivative of M(t) at t=0
e.g. for second moment - E(X2), use M’‘(t) at t = 0
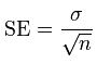
What is a Standard Error?
The standard error (SE) is given by
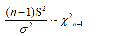
DBN of Sample Variance v. Population Variance
For a sample of size n with a sample variance S2 from a population with a population variance of σ2 where (n - 1) is degrees of freedom:

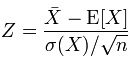
What is a Z-Score?
For a given point estimate (e.g. mean of a sample), the Z-score (z) is given by the following (σ should be the population SD, but may be substituted with the sample SD if the value for the population is not known and the sample is not too small)
What is the Expectation and Variance of a Chi-Square Distribution?
If X has the chi-square distribution with n degrees of freedom then
E(X)=n
var(X)=2n
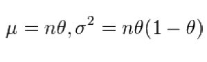
What are the First and Second Moments of the Binomial Distribution?
What is the Central Limit Theorem?
Define the Significance Level α
Significance Level α given by:
α = P(reject H0 when H0 is true)
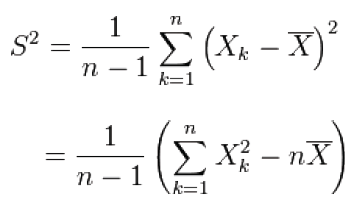
Define Sample Variance
Sample variance S2, for a sample of size n, is given by:

Prove that Sample Variance should be Equal to Population Variance

What is an F distribution?

What is the Cramer-Rao Lower Bound (CRLB)?
The Frechet-Cramer-Rao (or just Cramer-Rao) Lower Bound (CRLB) provides the lower bound for the variance of an unbiased estimator. If an estimator’s variance is equal to the CRLB, then it is described as optimal - i.e. no estimator can be more efficient.

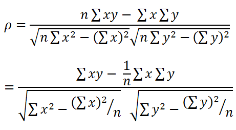
What is the Covariance Formula for Calculating the Correlation Coefficient?
What is the Raw Score Formula for Calculating the Correlation Coefficient?
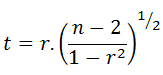
What is the t-statistic for testing the sample correlation coefficient?
For a sample, it is the sample correlation coefficient r, rather than the population correlation coefficient ρ that is calculated. As such, r is an estimate of ρ.
If ρ=0, r ≈ 0
The distribution of r, given ρ = 0 is given by the test statistic t, which has a Student t distribution with n - 2 degrees of freedom.

What is the Least Squares Line of Regression?
If two variables X and Y appear to have a correlation, then the approximate dependence between X and Y may be modelled using a polynomial.
For a linear dependence of the form y = ax + b the principle of least squares may be used i.e., L = E[Y - aX - b]2 aand derivatives taken w.r.t a and b and equated to zero in order to derive:

How are the Moments about the Mean Derived from the Cumulant Generating Function for n=2, n=3
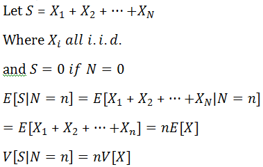
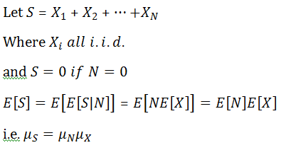
Compound Distribution Mean and Variance
for N=n
Compound Distribution - Compound Mean
Compound Distribution - Compound Variance
Variance of Sum of Uncorrelated Variables and their Mean
What is the Method of Moments?
The method of moments is a method of estimation of population parameters such as mean, variance, median, etc. (which need not be moments), by equating sample moments with unobservable population moments and then solving those equations for the quantities to be estimated.
What is the Central Tendency of a Distribution?
The central tendency of a distribution locates the “center” of a distribution of values.
The three major types of estimates of central tendency are
How do you Calculate the First and Third Quartiles of a Data Set
To calculate the lower and upper quartiles, split the data set in two (if there is an odd number of data items, exclude the median from the calculation).
First Quartile is median of first half of split data set
Second Quartile is median of second half of split data set