What is a G Test?
G-tests are likelihood-ratio or maximum likelihood statistical significance tests that are increasingly being used in situations where chi-squared tests were previously recommended.
The G test is undertaken in the same way as a chi-squared test, with the same degrees of freedom.
If Oi is the observed frequency in a cell, E is the expected frequency on the null hypothesis, and the sum is taken over all non-empty cells, G is calculated as:
How is a Pearson Residual Calculated?
For the Binomial mortality model (and thus approximately for the Poisson model), the Pearson residual is given by:
What are the GLM Link Functions for the following DBNs?
Forward Selection Procedure for Levels of Nested Generalised Linear Models (GLMs)
Let Di be the deviance of the ith level model, where D0 is the deviance of the null model (G score, chi-squared or other with approx chi-squared dbn).
In turn test (Di - Di+1) against required significance level (normally 5%) in a chi-squared test with d.f. = 1.
If change in deviance is significant (i.e. p-value < 0.05), then this supports moving to the next level of model.
Define a Symmetric Simple Random Walk
(Used to model processes, such as the movement of stock market share prices)
A simple random walk operates on discrete time and has a discrete state space (i.e. set of all integers)
Define a Compound Poisson Process
A compound Poisson process is a continuous-time (random) stochastic process with jumps.
A compound Poisson proces operates on continous time. It has a discrete or continous state space depending on whether Yj are continuous or discrete.
Examples:
What are the 12 Key Steps of Modelling
1. Objectives: Develop a clear set of objectives to model the relevant system or process, define its scope. This includes reviewing regulatory guidance.
What are the Benefits of Modelling?
What are the Limitations of Modelling?
Continuous, Discrete and Mixed Type Processes
In a stochastic (random) process, a family of random variables Xt : t ∈ τ is disclosed over time, t
In a discrete process, τ = {0, 1, 2, … }
= Z (natural, or counting numbers)
e.g. number of claims made
In a continuous process, T = R (real numbers), or [0,∞]
e.g. stock price fluctuations
A counting process Nt, is the number of events by time period t, where Nt is a non-decreasing integer and N0 = 0
An example of a mixed type process, including both continuous and discrete elements, is the market price of coupon-paying bonds - the bonds change price at specific times in response to coupons being paid, but also change continually due to market.
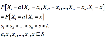
What is the Markov Property?
A process with the Markov property will be one in which the future development of the process may be predicted on the basis of the current state of the system alone, without reference to it past history.
If a stochastic process Xt is defined on a state space S and time set t ≥ 0, the Markov property is expressed mathematically as:

Prove the Chapman-Kolmogorov Equations for n-step transitions
The Chapman-Kolmogorov Equations provide a way of calculating n-step transition probabilities through matrix multiplication of single-step transitions. The proof is as follows:

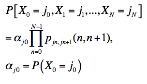
How do you Calculate the
n-Step probability using the Chapman Kolmogorov equations?
If αj0 is the initial probability distribution,

Conditions for a Stationary Distribution in a Markov Chain
In a Markov chain, the distribution of Xn may converge to a limit π, such that
P(Xn= j | X0= i) → πj
Regardless of the starting point - this is known as a stationary distribution
Time Inhomogeneous / Homogeneous Markov Chains
A Markov chain is called time-homogeneous if transition probabilities do not depend on time.
Where they do depend on time (e.g. risk for drivers at a particular age, or at a particular length of time after qualifying), a Markov Chain is called time-inhomogeneous.
Simple No Claims Discount (NCD) Model
No Claims Discount (NCD)
Policy holders start at 0% level
No claim in year moves up one level (or stays at top)
Claim in year moves down one level (or stays at bottom)
e.g:
Consider a no claims discount (NCD) model for car-insurance premiums. The insurance
company offers discounts of 0%, 30% and 60% of the full premium, determined by the following rules:
Transition graph shown below:
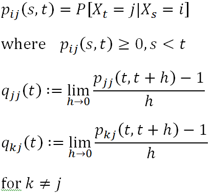
# Define Transition Intensities *q<sub>ii</sub>(t), q<sub>ij</sub>(t)* for Markov Jump Processes
Define Kolmogorov’s Forwards Equation for Markov Jump Processes
Define Kolmogorovs Backwards Equation for Markov Jump Processes
Distribution of Holding Times (Markov Jump Process)
Poisson process characterised by unit upward jumps - hence path fully characterised by times between jumps.
Distribution of Holding Times is Exponential with Parameter λ, in case of Poisson, and μ, in case of non-Poisson Markov Process.
Define Residual and Current Holding Times for Markov Jump Processes
What is the Survival Model?
The survival model is a two state Markov chain, with a state space of S = { A, D } (alive / dead). There is single transition rate μ(t) - identified with the force of mortality at age t
What is the Sickness-Death Model?
An extension of the survival model, with three states - healthy (H), sick (S) or dead (D). S = { H, S, D }
What is the Long Term Sickness Model?
The so-called long term care model is a time-inhomogeneous model where the rate of transition out of state S (sickness) will depend on the current holding time in state S.