Definitions Flashcards

(26 cards)

1
Q

Random error

A

Equally likely to be +ve or -ve. Gives a spread in results

How well did you know this?
1
Not at all
2
3
4
5
Perfectly
2
Q

Systematic error

A

Not revealed or reduced by simple repetition of measurements

How well did you know this?
1
Not at all
2
3
4
5
Perfectly
3
Q

Gaussian distribution

A

~68% of measurements in 1 s.d., 95% within 2 s.d.

How well did you know this?
1
Not at all
2
3
4
5
Perfectly
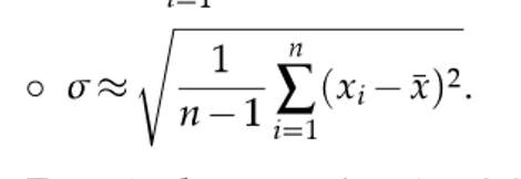
4
Q

Standard deviation formula

A
How well did you know this?
1
Not at all
2
3
4
5
Perfectly
5
Q

Error in the mean

A
How well did you know this?
1
Not at all
2
3
4
5
Perfectly
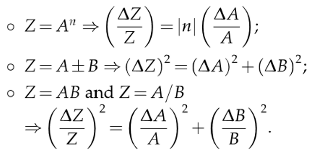
6
Q

Combining errors

A
How well did you know this?
1
Not at all
2
3
4
5
Perfectly
7
Q

Static and dynamic friction

A
How well did you know this?
1
Not at all
2
3
4
5
Perfectly
8
Q

Work done by a force

A
How well did you know this?
1
Not at all
2
3
4
5
Perfectly
9
Q

Potential energy

A
How well did you know this?
1
Not at all
2
3
4
5
Perfectly
10
Q

Potential energy and equilibrium

A
How well did you know this?
1
Not at all
2
3
4
5
Perfectly
11
Q

Newton’s Laws of Motion

A
How well did you know this?
1
Not at all
2
3
4
5
Perfectly
12
Q

Inertial frames

A
How well did you know this?
1
Not at all
2
3
4
5
Perfectly
13
Q

Speed of zero momentum frame

A
How well did you know this?
1
Not at all
2
3
4
5
Perfectly
14
Q

Centre of mass of a system

A
How well did you know this?
1
Not at all
2
3
4
5
Perfectly
15
Q

Moment vector

A
How well did you know this?
1
Not at all
2
3
4
5
Perfectly
16
Q

Moment of inertia (sum)

17
Q

Moment of inertia (integration)

18
Q

Parallel axes theorem

19
Q

Perpendicular axes theorem (for a lamina in the x-y plane)

20
Q

Describe the Michelson-Morley experiment

A

Optical interferometer used to measure speed of light in perpendicular directions by finding a shift in the interference pattern

If aether was real, light should be faster in one direction than the other, since the earth is moving

No shift was seen, therefore no evidence for aether. SPEED OF LIGHT THE SAME IN ALL REFERENCE FRAMES!

21
Q

Stellar aberration

A

Light observed from distant stars appears to be coming in at an angle. Explained by relativity.

22
Q

Evidence of special relativity

A

Muons reach Earth’s surface before decaying despite small lifetimes - time dilation

Michelson-Morley - no aether

Magnetic force between wires can be explained by modifying laws of electromagnetism with relativity

Clocks in space drift relative to earth - special and general relativistic effect

23
Q

Einstein’s Postulates

A
  1. All the laws of physics are the same in any inertial frame
  2. The speed of light in a vacuum is the same for all observers
24
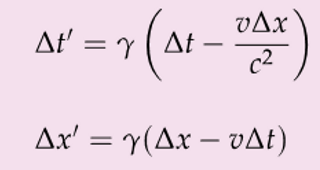
Q

Lorentz transformations

25
SR transformation matrix
26
Space-time invariant