Derivations Flashcards

(10 cards)

1
Q

Derive the wave equation for a stretched string

A
How well did you know this?
1
Not at all
2
3
4
5
Perfectly
2
Q

Show that the total momentum of an isolated system is constant

A
How well did you know this?
1
Not at all
2
3
4
5
Perfectly
3
Q

Derive the rocket equation by conservation of momentum

A
How well did you know this?
1
Not at all
2
3
4
5
Perfectly
4
Q

Derive the parallel axes theorem

A
How well did you know this?
1
Not at all
2
3
4
5
Perfectly
5
Q

Derive the perpendicular axes theorem

A
How well did you know this?
1
Not at all
2
3
4
5
Perfectly
6
Q

Derive the gyroscope equation

A

Use grip rule to find direction of angular momentum and torque vectors

How well did you know this?
1
Not at all
2
3
4
5
Perfectly
7
Q

Derive the relativistic addition of speeds formula

A
How well did you know this?
1
Not at all
2
3
4
5
Perfectly
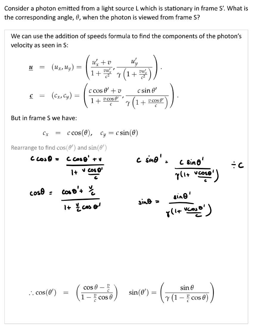
8
Q

Derive the formula for the aberration of light

A
How well did you know this?
1
Not at all
2
3
4
5
Perfectly
9
Q

Derive the relativistic Doppler shift for period

A
How well did you know this?
1
Not at all
2
3
4
5
Perfectly
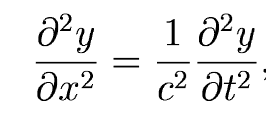
10
Q

Derive the kinetic and potential energy density of waves on a stretched string

A

Total energy density can then be found by subbing in the equation of the wave and cancelling terms. Average of sin^2/cos^2=1/2

How well did you know this?
1
Not at all
2
3
4
5
Perfectly