Dérivation Flashcards

(28 cards)

1
Q

Que signifie-t-il de dire qu’une fonction f est dérivable en a ? Et sur un intervalle I ? Qu’appelle-t-on nombre dérivé et fonction dérivée ?

A
How well did you know this?
1
Not at all
2
3
4
5
Perfectly
2
Q

Quel est le lien entre développement limité d’ordre 1 et dérivabilité ?

A

f admet un DL1 en a ⇔ f est dérivable en a

How well did you know this?
1
Not at all
2
3
4
5
Perfectly
3
Q

Que signifie-t-il de dire que f est C1 sur I ?

A

f est dérivable sur I et sa dérivée y est continue

How well did you know this?
1
Not at all
2
3
4
5
Perfectly
4
Q

Que peut-on dire de :
- la combinaison linéaire de deux fonctions dérivables
- leur produit
- leur quotient
?

A
How well did you know this?
1
Not at all
2
3
4
5
Perfectly
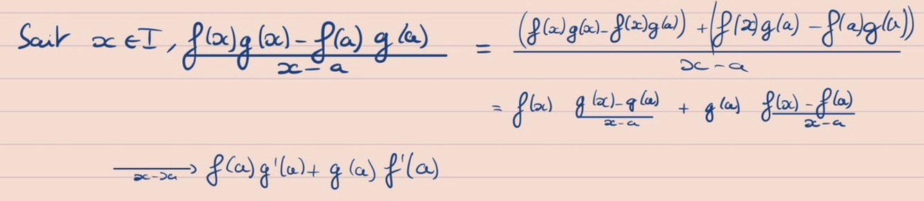
5
Q

Démontrer la dérivée du produit

A
How well did you know this?
1
Not at all
2
3
4
5
Perfectly
6
Q

Quand gof est-elle dérivable en a ? Sur I ?

A

gof dérivable en a ⇔ f dérivable en a et g dérivable en f(a)

gof dérivable sur I ⇔ f dérivable sur I et g dérivable sur f(I)

How well did you know this?
1
Not at all
2
3
4
5
Perfectly
7
Q

Quelle est la dérivée de la bijection réciproque ?

A
How well did you know this?
1
Not at all
2
3
4
5
Perfectly
8
Q

Qu’est ce que la formule de Leibniz ? Demo

A
How well did you know this?
1
Not at all
2
3
4
5
Perfectly
9
Q

Lorsqu’on traite des dérivées de fonctions, à quoi faut-il faire attention dans leur écriture ?

A

On dérive toujours le nom de la fonction, par exemple f’, mais jamais son expression : on ne peut pas écrire (3x + 4)’

How well did you know this?
1
Not at all
2
3
4
5
Perfectly
10
Q

Qu’est-ce qu’un maximum local, un minimum local ?

A
How well did you know this?
1
Not at all
2
3
4
5
Perfectly
11
Q

Qu’est-ce qu’un maximum global ?

A
How well did you know this?
1
Not at all
2
3
4
5
Perfectly
12
Q

Quand dit-on que f admet un extremum en a ?

A

Si f admet un maximum ou un minimum en a

How well did you know this?
1
Not at all
2
3
4
5
Perfectly
13
Q

Quel est le lien entre extremum et dérivée ? Justif

A
How well did you know this?
1
Not at all
2
3
4
5
Perfectly
14
Q

Qu’est-ce que le théorème de Rolle ?
Démo

A
How well did you know this?
1
Not at all
2
3
4
5
Perfectly
15
Q

Que signifie «étudier la dérivabilité d’une fonction» ? Comment le faire ?

A

Déterminer si elle est C1

  1. On dit qu’elle est C1 sauf sur certains points comme composition de fonctions C1
  2. On montre que f est C0 sur ces points
  3. On montre f est D1 sur ces points
  4. On montre que f’ admet une limite finie en ces points et c’est bon (théorème de la limite de la dérivée)
How well did you know this?
1
Not at all
2
3
4
5
Perfectly
16
Q

Quelle est l’utilité du théorème de Rolle ?

A

Il permet de montrer qu’une fonction s’annule

17
Q

Quand on traite f’ + λ×f, que faut-il considérer ?

A

Il faut regarder si la fonction g : x → f(x)×exp(λ×x) peut être utile

18
Q

Qu’est-ce que le théorème des accroissements finis ?
Démo

19
Q

Comment lier la croissance d’une fonction et le signe de sa dérivée ?
Démo

20
Q

A quoi sert le théorème de la limite de la dérivée ?

A

Il sert à montrer qu’une fonction est D1/C1 sur un intervalle I lorsqu’on sait qu’elle est D1/C1 sur I/{a}

21
Q

Qu’est-ce qu’une fonction convexe ? Quand utilise-t-on cette définition ?

A

On utilise la définition quand on a une inégalité à plusieurs variables

22
Q

Qu’est-ce que l’inégalité des cordes ?

23
Q

Que peut-on dire si f est convexe et f€D1 ? Et si f€D2 ?

A

D1 : la courbe représentative de f est au dessus de toutes ses tangentes et f’ croissante

D2 : f convexe ⇔ f’ croissante ⇔ f’’≥0

24
Q

Quelles sont les méthodes pour montrer qu’une fonction est dérivable ?

A
  • Compositions
  • Définition de la dérivabilité
  • Théorème de la limite de la dérivée
25
Quelles sont les méthodes pour calculer une dérivée n-ieme ?
- Utiliser la formule de Leibniz - Trouver une forme générale et la montrer par récurrence
26
Quelles sont les deux applications du théorème des accroissements finis ?
- montrer des inégalités - des théorèmes qui relient une fonction et sa dérivée
27
Qu’est-ce que l’inégalité des accroissements finis ?
28
Qu’est-ce que l’inégalité des accroissements finis (version avec la valeur absolue) ?
Soit **f dérivable sur D_f**, si on dispose de M€R tel que **|f’| est majorée par M**, Alors pour tout (x;y)€D_f², **|f(x) - f(y)| ≤ M × |x - y|**